| 查看: 707 | 回复: 5 | |
[求助]
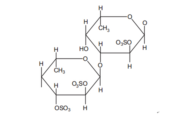
求大神看一下这个分子式 已有1人参与
|
|
|
|
|
pjstang木虫 (著名写手)
|
|
|
2楼2015-08-25 13:50:53
|
|
|
3楼2015-08-26 09:45:32
|
|
pjstang木虫 (著名写手)
|
|
|
4楼2015-08-26 11:15:52
|
|
|
5楼2015-08-26 20:45:18
|
|
|
6楼2015-08-27 11:45:04
|
|














回复此楼
irislover
120