| ²é¿´: 839 | »Ø¸´: 5 | ||
ÚäİÂûľ³æ (ÕýʽдÊÖ)
|
[ÇóÖú]
¸ß°æ±¾1stopt¹«Ê½ÄâºÏ£¬´úÂëÒѾ¸ø³ö ÒÑÓÐ1È˲ÎÓë
|
|
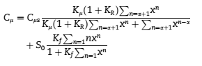
ÄÄλÀÏʦͬѧ°ï棬ÄâºÏ¸ö¹«Ê½£¬Êý¾ÝºÍ1stoptµÄ´úÂëÔÚ¸½¼þÖиø³öÁË£¬´úÂëÊÇÇ°ÃæÇóÖúµÃµ½µÄ»Ø¸´£¬µÃÂé·³°ïæ¼ì²éһϣ¬»¹Òª¼ÓÒ»Ìõ£ºÄâºÏµÄËùÓвÎÊý¾ùΪÕýÖµ¡£·Ç³£¸Ðл£¡ ¹«Ê½.png |
» ±¾Ìû¸½¼þ×ÊÔ´Áбí
-
»¶Ó¼à¶½ºÍ·´À¡£ºÐ¡Ä¾³æ½öÌṩ½»Á÷ƽ̨£¬²»¶Ô¸ÃÄÚÈݸºÔð¡£
±¾ÄÚÈÝÓÉÓû§×ÔÖ÷·¢²¼£¬Èç¹ûÆäÄÚÈÝÉæ¼°µ½ÖªÊ¶²úȨÎÊÌ⣬ÆäÔðÈÎÔÚÓÚÓû§±¾ÈË£¬Èç¶Ô°æÈ¨ÓÐÒìÒ飬ÇëÁªÏµÓÊÏ䣺xiaomuchong@tal.com - ¸½¼þ 1 : Data_for_D.D.DO_fitting.xls
2015-08-24 11:47:16, 108 K
» ²ÂÄãϲ»¶
327Çóµ÷¼Á
ÒѾÓÐ5È˻ظ´
361Çóµ÷¼Á
ÒѾÓÐ3È˻ظ´
Ò»Ö¾Ô¸ÖÐÄÏ´óѧ»¯Ñ§Ñ§Ë¶0703×Ü·Ö337Çóµ÷¼Á
ÒѾÓÐ5È˻ظ´
Ò»Ö¾Ô¸±±¾©»¯¹¤´óѧ 070300 ѧ˶ 336·Ö Çóµ÷¼Á
ÒѾÓÐ6È˻ظ´
²ÄÁÏרҵÇóµ÷¼Á
ÒѾÓÐ10È˻ظ´
341Çóµ÷¼Á(Ò»Ö¾Ô¸ºþÄÏ´óѧ070300)
ÒѾÓÐ5È˻ظ´
0854 ¿¼Ñе÷¼Á ÕÐÉúÁË£¡AI ·½Ïò
ÒѾÓÐ15È˻ظ´
384Çóµ÷¼Á
ÒѾÓÐ6È˻ظ´
ÉúÎïѧѧ˶Çóµ÷¼Á
ÒѾÓÐ4È˻ظ´
081700 µ÷¼Á 267·Ö
ÒѾÓÐ6È˻ظ´

dingd
Ìú¸Ëľ³æ (Ö°Òµ×÷¼Ò)
- Ó¦Öú: 1641 (½²Ê¦)
- ½ð±Ò: 15037.3
- É¢½ð: 101
- ºì»¨: 234
- Ìû×Ó: 3410
- ÔÚÏß: 1223.7Сʱ
- ³æºÅ: 291104
- ×¢²á: 2006-10-28
¡¾´ð°¸¡¿Ó¦Öú»ØÌû
¡ï ¡ï ¡ï ¡ï ¡ï ¡ï ¡ï ¡ï ¡ï ¡ï ¡ï ¡ï ¡ï ¡ï ¡ï ¡ï ¡ï ¡ï ¡ï ¡ï ¡ï ¡ï ¡ï ¡ï ¡ï ¡ï ¡ï ¡ï ¡ï ¡ï ¡ï ¡ï ¡ï ¡ï ¡ï ¡ï ¡ï ¡ï ¡ï ¡ï ¡ï ¡ï ¡ï ¡ï ¡ï ¡ï ¡ï ¡ï ¡ï ¡ï ¡ï ¡ï ...
¸Ðл²ÎÓ룬ӦÖúÖ¸Êý +1
ÚäİÂû: ½ð±Ò+50, ¡ï¡ï¡ï¡ï¡ï×î¼Ñ´ð°¸, ·Ç³£¸Ðл´óʦ£¡ÄâºÏµÄµÚÒ»×éÊý¾ÝºÍºÏ²¢²ÎÊýµÄÊý¾Ý¶¼Í¦ºÃµÄ£¬excelÖÐÊÇÈý×éÊý¾Ý£¬Äܲ»ÄÜÂé·³Äú¶¼¸øÄâºÏÒ»ÏÂÄØ£¬ÔÚ²ÎÊý²»ºÏ²¢ºÍºÏ²¢µÄÇé¿öÏ£¬·Ç³£¸Ðл!!! 2015-08-24 14:03:50
xzhdty: ½ð±Ò+2, ¸Ðл²ÎÓë 2015-08-26 10:03:43
¸Ðл²ÎÓ룬ӦÖúÖ¸Êý +1
ÚäİÂû: ½ð±Ò+50, ¡ï¡ï¡ï¡ï¡ï×î¼Ñ´ð°¸, ·Ç³£¸Ðл´óʦ£¡ÄâºÏµÄµÚÒ»×éÊý¾ÝºÍºÏ²¢²ÎÊýµÄÊý¾Ý¶¼Í¦ºÃµÄ£¬excelÖÐÊÇÈý×éÊý¾Ý£¬Äܲ»ÄÜÂé·³Äú¶¼¸øÄâºÏÒ»ÏÂÄØ£¬ÔÚ²ÎÊý²»ºÏ²¢ºÍºÏ²¢µÄÇé¿öÏ£¬·Ç³£¸Ðл!!! 2015-08-24 14:03:50
xzhdty: ½ð±Ò+2, ¸Ðл²ÎÓë 2015-08-26 10:03:43
|
Ku, Kr²»Î¨Ò»£¬Ä£Ð͹«Ê½ÖУºKu*(1+Kr) ÍêÈ«¿ÉÒԺϲ¢³ÉÒ»¸ö²ÎÊý£ºKuKr 1: Root of Mean Square Error (RMSE):0.128996187549323 Sum of Square Error:0.26624026243616 Correlation Coef. (R): 0.999723928651034 R-Square: 0.999447933517457 Determination Coef. (DC): 0.999446781498728 F-Statistic: 3615.20808758515 Parameter Best Estimate -------------------- ------------- a 7 cus 12.614455189627 ku 1.61238375766498 kr 1.16546437352327 kf 1.02114735904305 so 17.0425422829672 2: Root of Mean Square Error (RMSE):0.128996187549323 Sum of Square Error:0.266240262436161 Correlation Coef. (R): 0.999723928651542 R-Square: 0.999447933518473 Determination Coef. (DC): 0.999446781498728 F-Statistic: 3615.20808758515 Parameter Best Estimate -------------------- ------------- a 7 cus 12.6144551960528 ku 0.000556933748288202 kr 6268.25476653784 kf 1.02114734330174 so 17.0425424759332 ºÏ²¢ºó£¬²ÎÊýΨһ£º Root of Mean Square Error (RMSE):0.128996187549322 Sum of Square Error:0.266240262436159 Correlation Coef. (R): 0.999723928650606 R-Square: 0.999447933516601 Determination Coef. (DC): 0.999446781498728 F-Statistic: 4970.91112042961 Parameter Best Estimate -------------------- ------------- a 7 cus 12.614455169466 kukr 3.49155959319045 kf 1.02114736315369 so 17.0425422430422 |
» ±¾ÌûÒÑ»ñµÃµÄºì»¨£¨×îÐÂ10¶ä£©
2Â¥2015-08-24 12:05:45
ÚäİÂû
ľ³æ (ÕýʽдÊÖ)
- Ó¦Öú: 6 (Ó×¶ùÔ°)
- ½ð±Ò: 1670.9
- É¢½ð: 131
- ºì»¨: 7
- Ìû×Ó: 523
- ÔÚÏß: 254.8Сʱ
- ³æºÅ: 1442812
- ×¢²á: 2011-10-14
- ÐÔ±ð: MM
- רҵ: ÄÜÔ´»¯¹¤
Ëͺ컨һ¶ä |
·Ç³£¸Ðл´óʦ£¡ÄâºÏµÄµÚÒ»×éÊý¾ÝºÍºÏ²¢²ÎÊýµÄÊý¾Ý¶¼Í¦ºÃµÄ£¬excelÖÐÊÇÈý×éÊý¾Ý£¬Äܲ»ÄÜÂé·³Äú¶¼¸øÄâºÏÒ»ÏÂÄØ£¬ÔÚ²ÎÊý²»ºÏ²¢ºÍºÏ²¢µÄÇé¿öÏ£¬·Ç³£¸Ðл!!! |

3Â¥2015-08-24 14:33:45
ÚäİÂû
ľ³æ (ÕýʽдÊÖ)
- Ó¦Öú: 6 (Ó×¶ùÔ°)
- ½ð±Ò: 1670.9
- É¢½ð: 131
- ºì»¨: 7
- Ìû×Ó: 523
- ÔÚÏß: 254.8Сʱ
- ³æºÅ: 1442812
- ×¢²á: 2011-10-14
- ÐÔ±ð: MM
- רҵ: ÄÜÔ´»¯¹¤

4Â¥2015-08-26 08:29:04
ð©Ð¡Ìì
ľ³æÖ®Íõ (Ö°Òµ×÷¼Ò)
- Ó¦Öú: 19 (СѧÉú)
- ¹ó±ö: 0.1
- ½ð±Ò: 76016.6
- É¢½ð: 502
- ºì»¨: 137
- Ìû×Ó: 3801
- ÔÚÏß: 869Сʱ
- ³æºÅ: 1864745
- ×¢²á: 2012-06-19
- ÐÔ±ð: GG
- רҵ: Á¦Ñ§ÖеĻù±¾ÎÊÌâºÍ·½·¨
¡¾´ð°¸¡¿Ó¦Öú»ØÌû
¡ï ¡ï ¡ï ¡ï ¡ï ¡ï ¡ï ¡ï ¡ï ¡ï ¡ï ¡ï ¡ï ¡ï ¡ï ¡ï ¡ï ¡ï ¡ï ¡ï ¡ï ¡ï ¡ï ¡ï ¡ï ¡ï ¡ï ¡ï ¡ï ¡ï ¡ï ¡ï ¡ï ¡ï ¡ï ¡ï ¡ï ¡ï ¡ï ¡ï ¡ï ¡ï ¡ï ¡ï ¡ï ¡ï ¡ï ¡ï ¡ï ¡ï ¡ï ¡ï ...
ÚäİÂû: ½ð±Ò+100, ¡ï¡ï¡ï¡ï¡ï×î¼Ñ´ð°¸, ÕæµÄÕæµÄ·Ç³£¸Ðл£¡£¡£¡ 2015-08-31 16:48:09
ÚäİÂû: ½ð±Ò+100, ¡ï¡ï¡ï¡ï¡ï×î¼Ñ´ð°¸, ÕæµÄÕæµÄ·Ç³£¸Ðл£¡£¡£¡ 2015-08-31 16:48:09
|
ÄãÒªµÄ½á¹ûÔÚtxtÖУ¬°üÀ¨²»×éºÏºÍ×éºÏµÄ |

5Â¥2015-08-30 21:58:28
Ëͺ컨һ¶ä
![]() ![]() |
6Â¥2015-08-31 16:48:57













»Ø¸´´ËÂ¥
