| ²é¿´: 1122 | »Ø¸´: 1 | |||
iyearnͳæ (СÓÐÃûÆø)
|
[ÇóÖú]
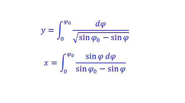
ÇóÖú£ºÓÃmatlab Ñ»·¼ÆËãÍÖÔ²»ý·Ö ÒÑÓÐ1È˲ÎÓë
|
matlab±à³Ì»æÍ¼ |
» ²ÂÄãϲ»¶
366Çóµ÷¼Á
ÒѾÓÐ9È˻ظ´
²ÄÁϹ¤³Ì085601£¬270Çóµ÷¼Á
ÒѾÓÐ37È˻ظ´
279ѧ˶ʳƷרҵÇóµ÷¼ÁԺУ
ÒѾÓÐ18È˻ظ´
290µ÷¼ÁÉúÎï0860
ÒѾÓÐ31È˻ظ´
Ò»Ö¾Ô¸085802 323·ÖÇóµ÷¼Á
ÒѾÓÐ13È˻ظ´
277Çóµ÷¼Á
ÒѾÓÐ23È˻ظ´
322Çóµ÷¼Á£¬08¹¤¿Æ
ÒѾÓÐ4È˻ظ´
²ÄÁϹ¤³Ì281»¹Óе÷¼Á»ú»áÂð
ÒѾÓÐ30È˻ظ´
»¯Ñ§070300 Çóµ÷¼Á
ÒѾÓÐ16È˻ظ´
»¯¹¤Ñ§Ë¶294·Ö£¬Çóµ¼Ê¦ÊÕÁô
ÒѾÓÐ12È˻ظ´

ÔÂÖ»À¶
Ö÷¹ÜÇø³¤ (Ö°Òµ×÷¼Ò)
-

ר¼Ò¾Ñé: +1059 - Ó¦Öú: 1712 (½²Ê¦)
- ¹ó±ö: 8.888
- ½ð±Ò: 68129.7
- É¢½ð: 1938
- ºì»¨: 443
- ɳ·¢: 4
- Ìû×Ó: 4373
- ÔÚÏß: 3291.4Сʱ
- ³æºÅ: 1122189
- ×¢²á: 2010-10-14
- רҵ: ÓîÖæÑ§
- ¹ÜϽ: ¼ÆËãÄ£ÄâÇø
¡¾´ð°¸¡¿Ó¦Öú»ØÌû
¡ï ¡ï ¡ï ¡ï ¡ï ¡ï ¡ï ¡ï ¡ï ¡ï
¸Ðл²ÎÓ룬ӦÖúÖ¸Êý +1
iyearn: ½ð±Ò+10, ¡ï¡ï¡ïºÜÓаïÖú 2015-10-02 09:47:23
¸Ðл²ÎÓ룬ӦÖúÖ¸Êý +1
iyearn: ½ð±Ò+10, ¡ï¡ï¡ïºÜÓаïÖú 2015-10-02 09:47:23

2Â¥2015-08-21 11:41:24













»Ø¸´´ËÂ¥