24小时热门版块排行榜    

查看: 2759  |  回复: 0
【悬赏金币】回答本帖问题,作者北木lucky将赠送您 10 个金币

北木lucky

铜虫 (小有名气)

[求助] Latex公式转化为Mathtype公式出现问题

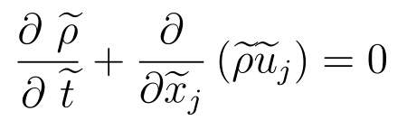
有一些公式开始是用Latex编辑的,现在要转化到MathType中,然后出现了不能识别的问题,如下:
Latex代码:\frac{\partial \widetilde{\rho}}{\partial \widetilde{t}} + \frac{\partial}{\partial \widetilde{x}_{j}}\left(  \widetilde{\rho}\widetilde{u}_{j} \right) = 0
latex编译后:Latex公式转化为Mathtype公式出现问题
复制到Mathtype中后:Latex公式转化为Mathtype公式出现问题-1
这种情况有解决办法吗?
回复此楼

» 猜你喜欢

已阅   回复此楼   关注TA 给TA发消息 送TA红花 TA的回帖
相关版块跳转 我要订阅楼主 北木lucky 的主题更新
不应助 确定回帖应助 (注意:应助才可能被奖励,但不允许灌水,必须填写15个字符以上)
最具人气热帖推荐 [查看全部] 作者 回/看 最后发表
[硕博家园] 深圳大学硕士招生(2026秋,传感器方向,仅录取第一志愿) +4 xujiaoszu 2026-03-11 8/400 2026-03-16 09:45 by xujiaoszu
[考研] 求老师收留调剂 +4 jiang姜66 2026-03-14 5/250 2026-03-15 20:11 by Winj1e
[考研] 274求调剂 +4 时间点 2026-03-13 4/200 2026-03-15 15:29 by Rambo13
[考研] 本科南京大学一志愿川大药学327 +3 麦田耕者 2026-03-14 3/150 2026-03-14 20:04 by 外星文明
[考研] 211本,11408一志愿中科院277分,曾在中科院自动化所实习 +3 Losir 2026-03-12 3/150 2026-03-14 12:11 by 热情沙漠
[考研] 308 085701 四六级已过求调剂 +7 温乔乔乔乔 2026-03-12 14/700 2026-03-14 10:49 by JourneyLucky
[考研] 一志愿郑大070303,338分,求调剂 +4 dadawaf 2026-03-10 5/250 2026-03-14 01:20 by lsw010101
[基金申请] 有必要更换申报口吗 20+3 fannyamoy 2026-03-11 3/150 2026-03-14 00:52 by zhanghaozhu
[考研] 327求调剂 +4 Ffff03 2026-03-10 4/200 2026-03-14 00:17 by JourneyLucky
[考研] 311求调剂 +8 zchqwer 2026-03-10 8/400 2026-03-14 00:01 by JourneyLucky
[考研] 336求调剂 +6 Iuruoh 2026-03-11 6/300 2026-03-13 22:06 by JourneyLucky
[考研] 求材料调剂 085600英一数二总分302 前三科235 精通机器学习 一志愿哈工大 +4 林yaxin 2026-03-12 4/200 2026-03-13 22:04 by 星空星月
[考研] 0856材料与化工301求调剂 +5 奕束光 2026-03-13 5/250 2026-03-13 22:00 by 星空星月
[考研] 281求调剂 +9 Koxui 2026-03-12 11/550 2026-03-13 20:50 by Koxui
[考研] 310求调剂 +3 【上上签】 2026-03-11 3/150 2026-03-13 16:16 by JourneyLucky
[考研] 工科278分求调剂 +5 周慢热啊 2026-03-12 7/350 2026-03-13 15:49 by JourneyLucky
[考研] 282分材料专业求调剂院校 +18 枫桥ZL 2026-03-09 25/1250 2026-03-13 10:47 by 白夜悠长
[考研] 270求调剂 085600材料与化工专硕 +3 YXCT 2026-03-11 3/150 2026-03-13 10:13 by houyaoxu
[考博] 福州大学杨黄浩课题组招收2026年专业学位博士研究生,2026.03.20截止 +3 Xiangyu_ou 2026-03-12 3/150 2026-03-13 09:36 by duanwu655
[考研] 294 英二数二物化 求调剂 +6 米饭团不好吃 2026-03-09 6/300 2026-03-09 23:55 by barlinike
信息提示
请填处理意见