| 查看: 1283 | 回复: 1 | ||
lishujun2018新虫 (小有名气)
|
[求助]
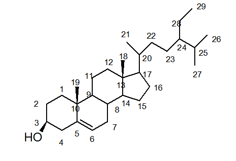
β-谷甾醇分子式碳元子的编号 已有1人参与
|
| β-谷甾醇分子式中碳原子的编号?谢谢 |
» 猜你喜欢
297求调剂
已经有12人回复
26调剂 086003
已经有3人回复
265求调剂
已经有20人回复
271分求调剂学校
已经有11人回复
320分人工智能调剂
已经有6人回复
求调剂,一志愿南京航空航天大学 ,080500材料科学与工程学硕
已经有8人回复
280求调剂
已经有19人回复
求材料调剂,一志愿郑州大学289分
已经有15人回复
26考研调剂0710 0860
已经有6人回复
282求调剂
已经有22人回复
» 本主题相关商家推荐: (我也要在这里推广)
yuyue7176
木虫 (小有名气)
- 应助: 24 (小学生)
- 金币: 4866.8
- 散金: 20
- 红花: 3
- 帖子: 152
- 在线: 31.7小时
- 虫号: 3492012
- 注册: 2014-10-22
- 性别: GG
- 专业: 天然药物化学
2楼2015-08-19 09:31:24














回复此楼