| ²é¿´: 513 | »Ø¸´: 1 | ||
ys1441гæ (³õÈëÎÄ̳)
|
[ÇóÖú]
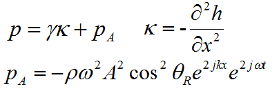
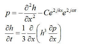
Çó´óÉñÖ¸µ¼Çó½â£ºËĽ׷ÇÏßÐÔÆ«Î¢·Ö·½³Ì×é
|
|
ÂÛÎÄÖÐÌᵽʹÓÃÏßÉÏ·¨£¨MOL£©½âµÄ£¬µ«ÊÇСµÜÊǸö³õ³õ³õѧÕߣ¬²éÔÄÁ˺ܾõÄ×ÊÁÏҲûÓÐÕÒµ½Çó½âµÄ˼· ÌØÀ´ÇóÖú¸÷λ´óÉñ ²ÎÊý£º ·½³Ì£º Ìõ¼þ£º |
» ²ÂÄãϲ»¶
284Çóµ÷¼Á
ÒѾÓÐ10È˻ظ´
һ־Ըɽ¶«´óѧҩѧѧ˶Çóµ÷¼Á
ÒѾÓÐ4È˻ظ´
07»¯Ñ§280·ÖÇóµ÷¼Á
ÒѾÓÐ4È˻ظ´
298-Ò»Ö¾Ô¸Öйúũҵ´óѧ-Çóµ÷¼Á
ÒѾÓÐ12È˻ظ´
Çó²ÄÁÏ£¬»·¾³×¨Òµµ÷¼Á
ÒѾÓÐ3È˻ظ´
335Çóµ÷¼Á
ÒѾÓÐ5È˻ظ´
Çóµ÷¼Á
ÒѾÓÐ7È˻ظ´
Ò»Ö¾Ô¸¼ª´ó»¯Ñ§322Çóµ÷¼Á
ÒѾÓÐ4È˻ظ´
»·¾³Ñ§Ë¶288Çóµ÷¼Á
ÒѾÓÐ8È˻ظ´
341Çóµ÷¼Á(Ò»Ö¾Ô¸ºþÄÏ´óѧ070300)
ÒѾÓÐ6È˻ظ´
ÄäÃû
Óû§×¢Ïú (Ö°Òµ×÷¼Ò)
- Ó¦Öú: 0 (Ó×¶ùÔ°)
- ½ð±Ò: 8.8
- É¢½ð: 2863
- ºì»¨: 20
- ɳ·¢: 261
- Ìû×Ó: 4596
- ÔÚÏß: 1612.9Сʱ
- ³æºÅ: 0
- ×¢²á: 2013-11-12
- רҵ: »úе¶¯Á¦Ñ§
2Â¥2015-08-27 15:21:57













»Ø¸´´ËÂ¥