| 查看: 852 | 回复: 2 | |
[求助]
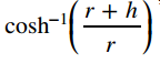
这个公式是什么意思?
|
|
|
|
|
793516625木虫 (著名写手)
|
|
|
2楼2015-08-17 15:45:21
|
|
Edstrayer版主 (著名写手)
方寸斗室小天地正气迷漫大世界
|
|
![]() |
|
|
3楼2015-08-19 08:28:18
|
|














回复此楼
