| 查看: 1371 | 回复: 2 | |||
phyzhao银虫 (小有名气)
|
[交流]
欧姆热与电化学反应热(可逆热) 已有1人参与
|
|
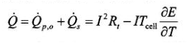
最近在看电池的产热论文,关于这个公式怎么用还有一些疑问? 欧姆热(不可逆热),这部分=I^2*R 电化学反应热(可逆热),这部分=-I*T*(dE/dT) 不理解的是第二项与反应物的量怎么关联起来? 比如几个电池串联起来,第一项的R是变大了,所以欧姆热变大,第二项的产热肯定也是增大,但是从公式中怎么体现出来? 图片3.png |
» 猜你喜欢
上海工程技术大学生态与功能纺织品开发研究团队招收学硕专硕研究生
已经有0人回复
华南理工0703求调剂,总分336四六级已过
已经有2人回复
物理化学论文润色/翻译怎么收费?
已经有264人回复
青岛大学化学化工学院2026年招收调剂硕士研究生
已经有0人回复
新能源材料方向考研调剂招生(长江师范学院)
已经有0人回复
0854电子信息272求调剂!
已经有0人回复
化学-化工-材料-食品-生物-环境2026年研究生调剂(可以不考数学)
已经有0人回复
化学-化工-材料-食品-生物-环境-农业 2026年研究生调剂(可以不考数学)
已经有1人回复
070300一志愿211,312分求调剂院校
已经有4人回复
26年储能、电池方向博士申请
已经有0人回复
070300化学求调剂
已经有2人回复
2楼2015-08-18 13:53:46
phyzhao
银虫 (小有名气)
- 应助: 2 (幼儿园)
- 金币: 727.5
- 帖子: 99
- 在线: 122.7小时
- 虫号: 535505
- 注册: 2008-03-29
- 专业: 凝聚态物性 II :电子结构
3楼2015-09-02 17:18:50














回复此楼