| 查看: 668 | 回复: 1 | |
[求助]
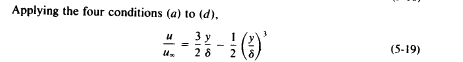
holman传热学的一个公式的推导 已有1人参与
|
|
|
|
|
friend012016铁杆木虫 (著名写手)
|
|
![]() |
|
|
2楼2015-08-18 10:36:40
|
|













回复此楼
