| ²é¿´: 531 | »Ø¸´: 1 | ||||
twtfnyyгæ (³õÈëÎÄ̳)
|
[½»Á÷]
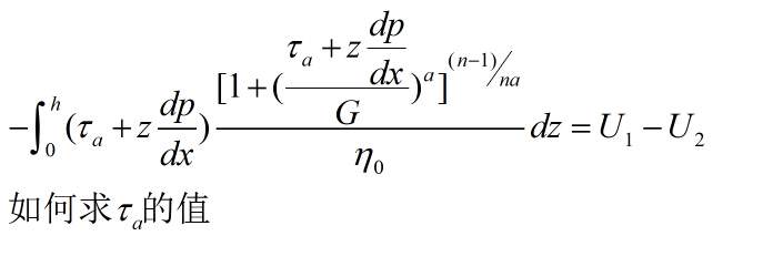
ÒÑÖª¹ØÓÚTaµÄ·½³Ì£¬ÈçºÎµÃµ½ËüµÄµü´ú¹«Ê½£¬²¢±àд³ÌÐòÇó½â£¿ ÒÑÓÐ1È˲ÎÓë
|
|
¹«Ê½ÔÚ¸½¼þÀ³ýÁËËùÇóµÄTa£¬ÆäËûµÄ±äÁ¿¶¼ÊÇÒÑÖª³£Êý¡£¡£¿Î±¾ÉÏ˵¿ÉÒÔÓÉÕâ¸ö·½³ÌµÃµ½TaµÄµü´ú¹«Ê½£¬Çó´óÉñ±àд³ÌÐòÇó³öTaµÄÖµ°¡¡£ ¹«Ê½11.jpg |
» ÊÕ¼±¾ÌûµÄÌÔÌûר¼ÍƼö
matlab±à³Ì»æÍ¼ |
» ²ÂÄãϲ»¶
Ò»Ö¾Ô¸211£¬»¯Ñ§Ñ§Ë¶£¬310·Ö£¬±¾¿ÆÖصãË«·Ç£¬Çóµ÷¼Á
ÒѾÓÐ21È˻ظ´
¿¼ÑÐÓ¢Ò»ÊýÒ»338·Ö
ÒѾÓÐ8È˻ظ´
302Çóµ÷¼Á
ÒѾÓÐ10È˻ظ´
327Çóµ÷¼Á
ÒѾÓÐ14È˻ظ´
¿¼Ñе÷¼Á
ÒѾÓÐ5È˻ظ´
ÉúÎïѧ308·ÖÇóµ÷¼Á£¨Ò»Ö¾Ô¸»ª¶«Ê¦´ó£©½ÓÊÜ¿çרҵ
ÒѾÓÐ6È˻ظ´
Ò»Ö¾Ô¸»¦9£¬326ÇóÉúÎïѧµ÷¼Á
ÒѾÓÐ9È˻ظ´
¸÷λÀÏʦºÃ£¬Çóµ÷¼Á£¬±¾¿Æ211£¬Ò»Ö¾Ô¸Ìì½ò´óѧÉúÎïÓëҽҩѧ˶£¬²îÁ½Ãû¼ȡ¡£
ÒѾÓÐ6È˻ظ´
085600²ÄÁÏÓ뻯¹¤329·ÖÇóµ÷¼Á
ÒѾÓÐ12È˻ظ´
»¯¹¤Ñ§Ë¶294·Ö£¬Çóµ¼Ê¦ÊÕÁô
ÒѾÓÐ26È˻ظ´
--power
½ð³æ (СÓÐÃûÆø)
- Ó¦Öú: 8 (Ó×¶ùÔ°)
- ½ð±Ò: 690.8
- É¢½ð: 10
- ºì»¨: 2
- Ìû×Ó: 182
- ÔÚÏß: 60.4Сʱ
- ³æºÅ: 2144158
- ×¢²á: 2012-11-23
- רҵ: ºËÎïÀí
¡ï
Сľ³æ: ½ð±Ò+0.5, ¸ø¸öºì°ü£¬Ð»Ð»»ØÌû
Сľ³æ: ½ð±Ò+0.5, ¸ø¸öºì°ü£¬Ð»Ð»»ØÌû
|
¶¨Ò庯Êýfun(Ta) fun(Ta) = Integrate(Ta) - U1 + U2 ÆäÖк¯ÊýIntegrate(Ta)Äã¿ÉÒÔËæ±ãÑ¡ÓÃÒ»¸öÊýÖµ»ý·Ö¹«Ê½£¬ÈçÐÁÆÕÉ»ý·Ö¹«Ê½ ¶¨Òå·½³Ì fun(Ta) = 0.0d0 ×îºóÔËÓÃÊýÖµÇó½â·½³ÌµÄ¸ùµÄ·½·¨(Èç¶þ·Ö·¨¡¢Ïҽط¨)Çó³öÂú×ãÌõ¼þµÄTa ʽÖеÄÇ󵼿ÉÓÃ×î¼òµ¥µÄÁ½µã¹«Ê½»òÈýµã¹«Ê½ |
2Â¥2015-08-14 21:31:18














»Ø¸´´ËÂ¥