24小时热门版块排行榜    

Znn3bq.jpeg
查看: 437  |  回复: 0

huijie001

新虫 (初入文坛)


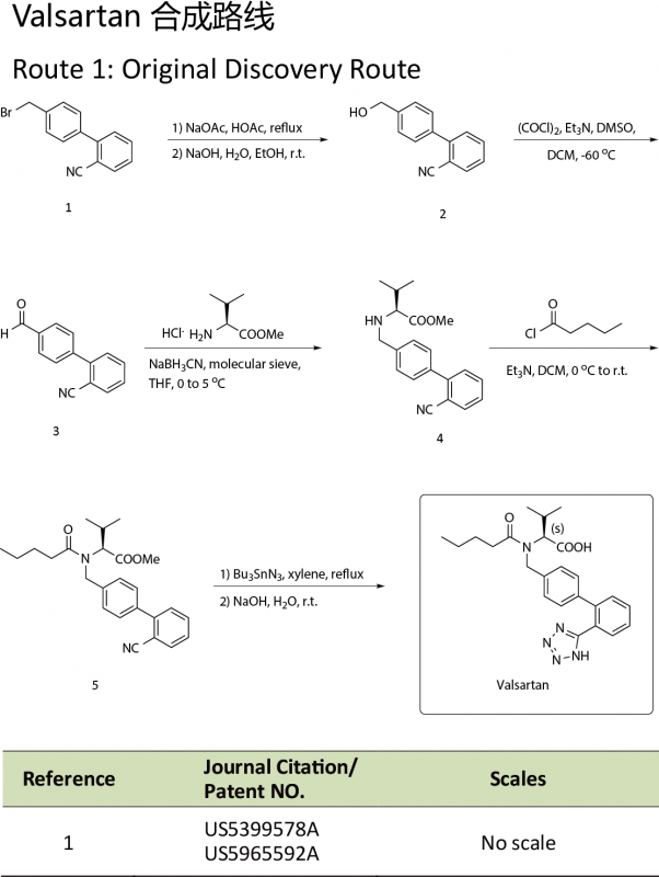
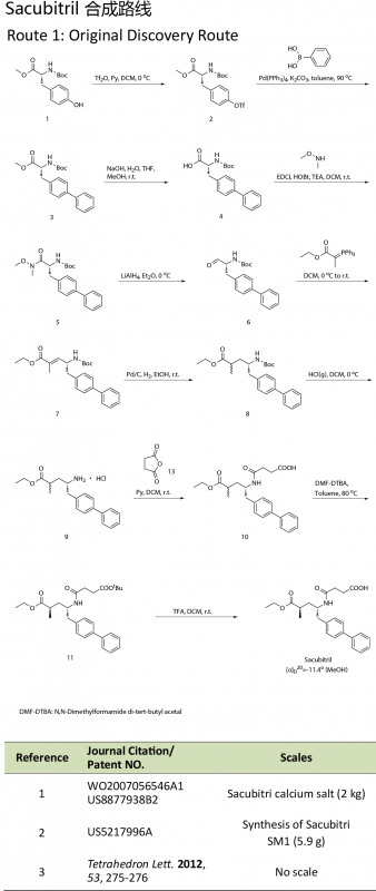
[交流] 【内容转自药渡网】FDA批准复方新药Entresto合成路线

内容转自【药渡网】

【内容转自药渡网】FDA批准复方新药Entresto合成路线
1.png


【内容转自药渡网】FDA批准复方新药Entresto合成路线-1
2.png


【内容转自药渡网】FDA批准复方新药Entresto合成路线-2
3.png


【内容转自药渡网】FDA批准复方新药Entresto合成路线-3
4.png


【内容转自药渡网】FDA批准复方新药Entresto合成路线-4
5.png


【内容转自药渡网】FDA批准复方新药Entresto合成路线-5
6.png


【内容转自药渡网】FDA批准复方新药Entresto合成路线-6
7.png
回复此楼
已阅   回复此楼   关注TA 给TA发消息 送TA红花 TA的回帖
相关版块跳转 我要订阅楼主 huijie001 的主题更新
普通表情 高级回复 (可上传附件)
最具人气热帖推荐 [查看全部] 作者 回/看 最后发表
[有机交流] 求有机合成大神指点三硫酸乙烯酯(CAS:2793408-99-6)的合成路线 30+3 Leekmid 2026-05-13 10/500 2026-05-16 16:37 by czyzsu
[公派出国] 售SCI一区T0P文章,我:8.O.5.5.1.O.5.4,科目齐全,可+急 +5 l7k6xnh0yc 2026-05-14 5/250 2026-05-16 16:35 by x28q7dxf75
[有机交流] 如何实现卤原子转化 10+3 BT20230424 2026-05-15 5/250 2026-05-16 16:20 by czyzsu
[考研] 售SCI一区T0P文章,我:8.O.5.5.1.O.5.4,科目齐全,可+急 +5 cjf4bx70cj 2026-05-14 6/300 2026-05-16 16:17 by 0i5p09z61n
[硕博家园] 售SCI一区T0P文章,我:8.O.5.5.1.O.5.4,科目齐全,可+急 +3 k37jurhrau 2026-05-16 3/150 2026-05-16 13:57 by vcdazktkjx
[考博] 售SCI一区T0P文章,我:8.O.5.5.1.O.5.4,科目齐全,可+急 +4 l7k6xnh0yc 2026-05-14 4/200 2026-05-16 11:36 by h3oerqvkv9
[考研] 售SCI一区T0P文章,我:8.O.5.5.1.O.5.4,科目齐全,可+急 +4 l7k6xnh0yc 2026-05-14 6/300 2026-05-16 11:29 by h3oerqvkv9
[硕博家园] 售SCI一区T0P文章,我:8.O.5.5.1.O.5.4,科目齐全,可+急 +4 cjf4bx70cj 2026-05-14 6/300 2026-05-16 11:16 by h3oerqvkv9
[文学芳草园] 裁员滚滚,退居二线 +4 J_wei 2026-05-10 4/200 2026-05-16 10:52 by zh10246
[考博] 2026博士还有哪些学校有名额 +5 小王求读研 2026-05-15 6/300 2026-05-16 10:44 by a4742549
[基金申请] 这年头没有找到涵评专家,还有中面上的可能吗 +11 dd921ww 2026-05-12 13/650 2026-05-16 09:16 by Howard28
[找工作] 售SCI一区T0P文章,我:8.O.5.5.1.O.5.4,科目齐全,可+急 +3 l7k6xnh0yc 2026-05-14 3/150 2026-05-16 01:49 by k37jurhrau
[文学芳草园] 窗边初夏的小雨 +8 阿美_Lml888 2026-05-09 11/550 2026-05-15 23:54 by WASM
[基金申请] 青C资助名额大幅增加! +11 西葫芦炒鸡蛋 2026-05-13 15/750 2026-05-15 14:36 by ambravo
[基金申请] 精华III评审感受-评审感受-评审感受 +14 ferrarichen 2026-05-11 18/900 2026-05-15 11:12 by cmhchen
[考博] 26应届毕业生考博求助 +3 wo一定上岸 2026-05-13 3/150 2026-05-14 21:47 by 明海天涯
[高分子] 本人最近太闲了,谁有问题可以提,每天会统一回复 +8 一切都是空工 2026-05-12 19/950 2026-05-14 20:03 by 一切都是空工
[基金申请] 请问大佬b0816评完了吗 +3 市民华南虎 2026-05-12 7/350 2026-05-14 07:41 by 市民华南虎
[论文投稿] 求助大佬sci投稿哪个好中 +3 江沅188 2026-05-12 4/200 2026-05-13 14:35 by 江沅188
[考博] 现在不知道怎么办,感觉很痛苦 +4 qweww 2026-05-11 5/250 2026-05-11 20:23 by Oversize
信息提示
请填处理意见