| ²é¿´: 801 | »Ø¸´: 1 | ||
yuanjijoyľ³æ (Ö°Òµ×÷¼Ò)
|
[ÇóÖú]
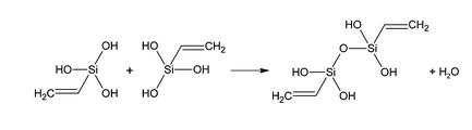
ÒÒÏ©»ùÈý¼×Ñõ»ù¹èÍé¿ÉÒÔ×ÔËõºÏÂ𣿠ÒÑÓÐ1È˲ÎÓë
|
|
ÒÒÏ©»ùÈý¼×Ñõ»ù¹èÍé¿ÉÒÔ×ÔËõºÏÂð£¿ÎÒÏÖÔÚÊÖÍ·Ö»ÓÐVTMS£¬Ïë×ÔËõºÏ£¬µ«ÊDzéÔÄÎÄÏ×£¬Ò²Ã»Óв鵽¡£ÖªµÀµÄÇ븽Éϲ½Öè»òÕßÎÄÏ×£¬50½ð±Ò×÷Ϊ»Ø±¨£¬Ð»Ð»¡£ VTMS.png |
» ²ÂÄãϲ»¶
308Çóµ÷¼Á
ÒѾÓÐ10È˻ظ´
285Çóµ÷¼Á
ÒѾÓÐ3È˻ظ´
070300Ò»Ö¾Ô¸211£¬312·ÖÇóµ÷¼ÁԺУ
ÒѾÓÐ11È˻ظ´
¿¼ÑÐÉúÎïÓëÒ½Ò©µ÷¼Á
ÒѾÓÐ6È˻ظ´
»·¾³¹¤³Ì 085701£¬267Çóµ÷¼Á
ÒѾÓÐ13È˻ظ´
08¿ªÍ·¿´¹ýÀ´£¡£¡£¡
ÒѾÓÐ5È˻ظ´
086000µ÷¼Á
ÒѾÓÐ5È˻ظ´
070300»¯Ñ§×¨Òµ279µ÷¼Á
ÒѾÓÐ7È˻ظ´
±¾2Ò»Ö¾Ô¸C9-333·Ö£¬²ÄÁÏ¿ÆÑ§Ó빤³Ì£¬Çóµ÷¼Á
ÒѾÓÐ8È˻ظ´
328Çóµ÷¼Á
ÒѾÓÐ5È˻ظ´

dadagege
ÖÁ×ðľ³æ (Ö°Òµ×÷¼Ò)
- Ó¦Öú: 665 (²©Ê¿)
- ½ð±Ò: 15960.9
- É¢½ð: 1288
- ºì»¨: 77
- Ìû×Ó: 3179
- ÔÚÏß: 1025.5Сʱ
- ³æºÅ: 2193290
- ×¢²á: 2012-12-18
- ÐÔ±ð: GG
- רҵ: ¸ß·Ö×Ӻϳɻ¯Ñ§
¡¾´ð°¸¡¿Ó¦Öú»ØÌû
¡ï ¡ï ¡ï ¡ï ¡ï ¡ï ¡ï ¡ï ¡ï ¡ï ¡ï ¡ï ¡ï ¡ï ¡ï ¡ï ¡ï ¡ï ¡ï ¡ï ¡ï ¡ï ¡ï ¡ï ¡ï ¡ï ¡ï ¡ï ¡ï ¡ï ¡ï ¡ï ¡ï ¡ï ¡ï ¡ï ¡ï ¡ï ¡ï ¡ï ¡ï ¡ï ¡ï ¡ï ¡ï ¡ï ¡ï ¡ï ¡ï ¡ï
¸Ðл²ÎÓ룬ӦÖúÖ¸Êý +1
yuanjijoy: ½ð±Ò+50, ¡ï¡ï¡ï¡ï¡ï×î¼Ñ´ð°¸ 2015-08-31 11:21:02
¸Ðл²ÎÓ룬ӦÖúÖ¸Êý +1
yuanjijoy: ½ð±Ò+50, ¡ï¡ï¡ï¡ï¡ï×î¼Ñ´ð°¸ 2015-08-31 11:21:02
| Ö»ÄÜ˵±È½ÏÀ§ÄѰ¡£¬Õâ¸öÀíÂÛÊÇÊÇ¿ÉÒԵģ¬ÔÚÓлú¹è»¯Ñ§ÖÐÓÐÕâÑùµÄ·´Ó¦£¬ÊÇÔÚÇ¿Ëá×÷Ϊ´ß»¯¼Á£¬ÔÚÒÒËáµÄ´æÔÚÏÂÊÇ¿ÉÒÔ·¢Éú¹èÑõÍéÖ®¼äµÄ×ÔËõ¾Û£¬Ò²ÓÐÏà¹ØµÄרÀû£¬ÎÒÒÔǰ¿´¹ý |

2Â¥2015-08-12 16:49:06














»Ø¸´´ËÂ¥
5