| 查看: 1156 | 回复: 2 | |
[求助]
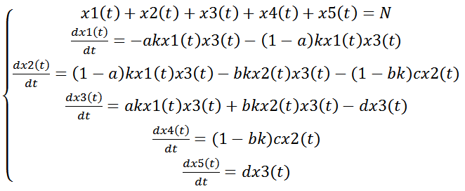
图片中的微分方程组如何用MATLAB求解画图,程序怎么写啊?麻烦给出求解过程~ 已有1人参与
|
|
|
|
|
|
2楼2015-08-13 06:58:28
|
|
|
3楼2015-08-13 07:00:36
|
|














回复此楼
10