| 查看: 577 | 回复: 2 | |||
zhang66163银虫 (正式写手)
|
[求助]
matlab程序编写 已有2人参与
|
|
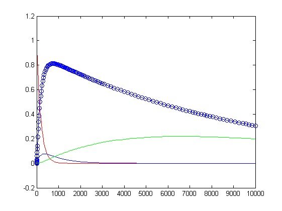
按照教程编写了一个程序:如下 function Batchreactor clear all;clc T=224.6+273 R=8.314 k0=[5.78052E+10, 3.92317E+12, 1.64254E+4, 6.264E+8] Ea=[124670, 150386, 77954, 111528] C0=[1, 0, 0, 0] tspan=[0, 1E+4] [t,C]=ode45(@Massequations,tspan,C0,[],k0,Ea,T,R); plot(t,C(:,1),'r-',t,C(:,2),'O-',t,C(:,3),'b-',t,C(:,4),'g-'); function dCdt=Massequations(t,C,k0,Ea,T,R); k=k0*exp(-Ea/(R*T)); k(5)=2.1667E-4; rA=-(k(1)+k(2))*C(1); rB=k(1)*C(1)-k(3)*C(2); rC=k(2)*C(1)-k(4)*C(3); rD=k(3)*C(2)-k(5)*C(4); rE=k(4)*C(3)+k(5)*C(4); 可是运行后,出现了错误;哪位大侠可以帮忙解释一下。谢谢 Error using * Inner matrix dimensions must agree. Error in concentration>Massequations (line 16) k=k0*exp(-Ea/(R*T)); k(5)=2.1667E-4; Error in odearguments (line 88) f0 = feval(ode,t0,y0,args{:}); % ODE15I sets args{1} to yp0. Error in ode45 (line 114) [neq, tspan, ntspan, next, t0, tfinal, tdir, y0, f0, odeArgs, odeFcn, ... Error in concentration (line 10) [t,C]=ode45(@Massequations,tspan,C0,[],k0,Ea,T,R); dCdt=[rA;rB;rC;rD;rE] |
» 猜你喜欢
光学工程学硕调剂信息
已经有32人回复
欢迎加入课题组
已经有0人回复
物理学I论文润色/翻译怎么收费?
已经有224人回复
散金币,求好运,祝面上顺利!
已经有79人回复
华东师范大学芯片设计徐珑真实水平咋样
已经有1人回复
调剂
已经有0人回复
【新加坡】纳米电子器件项目组有“联合培养博士生”名额
已经有0人回复
中德博士后2026项目5月30日截止- 国内博士后入站、德国两年全职
已经有0人回复
面向全球申请人的中德博士后2026项目5月30日截止- 国内博后入站德国两年全职
已经有0人回复
【新加坡】纳米电子器件项目组有“联合培养博士生”名额
已经有2人回复
重庆交大材料学院26年硕士招生复试实施细则已出。欢迎加入光子学微结构与器件课题组。
已经有0人回复

2楼2015-08-11 09:08:23
月只蓝
主管区长 (职业作家)
-

专家经验: +1059 - 计算强帖: 8
- 应助: 1712 (讲师)
- 贵宾: 8.888
- 金币: 68127.7
- 散金: 1938
- 红花: 443
- 沙发: 4
- 帖子: 4373
- 在线: 3291.4小时
- 虫号: 1122189
- 注册: 2010-10-14
- 专业: 宇宙学
- 管辖: 计算模拟区

3楼2015-08-11 09:27:15













回复此楼
40