| 查看: 2605 | 回复: 1 | ||
山东外飘汉金虫 (正式写手)
|
[求助]
目前发现了三种泡孔密度的计算公式,应该用哪一个呢?已有1人参与
|
|
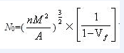
这三种中, 第一个是大家常用的公式,但是常用不代表正确。 第二个是另外一个帖子给出的建议公式 第三个是一篇96年文献中用的。 9QF8Y0B`N(S3N204JEX{177.jpg J0BBCQDEP`7$K6W][NPA}UU.png QFNP94DRQMEZLRG6SV(_J01.png |
» 猜你喜欢
【博士招生】英国萨里大学——2026年度萨里-国家留基委(CSC)联合奖学金申请
已经有0人回复
微合金钢的固溶温度的确定公式
已经有1人回复
冶金与矿业论文润色/翻译怎么收费?
已经有57人回复
东北师范大学,功能高分子材料与器件、可穿戴电子方向,招收2026年入学博士
已经有0人回复
关于30°不全位错的柏氏回路的绘制
已经有0人回复
MOF择优取向
已经有0人回复
诚邀申报CSC奖学金,top up 至>17万/年
已经有0人回复
26届申博,硕士为中药化学、材料、理论计算交叉研究背景
已经有0人回复
hse杂化泛函计算能带,导带和价带整体上移0.4eV是什么原因
已经有1人回复
东北师范大学,功能高分子材料与器件、可穿戴电子方向,招收2026年入学博士
已经有0人回复
北京科技大学/李亚庚教授招收2026年秋季入学博士生
已经有11人回复

文静320
铜虫 (初入文坛)
- 应助: 0 (幼儿园)
- 金币: 178
- 散金: 20
- 帖子: 39
- 在线: 17.6小时
- 虫号: 2920096
- 注册: 2014-01-08
- 性别: MM
- 专业: 高分子材料结构与性能
【答案】应助回帖
|
你好!请问你第一个公式在哪找到的?可以把文献发给我吗?邮箱wenjwang@mail.ustc.edu.cn 谢谢~ 原帖 http://muchong.com/bbs/viewthread.php?tid=9254677&fpage=2&target=blank |

2楼2017-02-06 08:58:54













回复此楼