| ²é¿´: 1685 | »Ø¸´: 17 | ||||
ÎÐÕñÔõôÕñ£¿½ð³æ (СÓÐÃûÆø)
|
[ÇóÖú]
ÇóÖú¹ØÓÚ·ÇÏßÐÔ×îС¶þ³Ë·¨½øÐвÎÊýʶ±ð ÒÑÓÐ1È˲ÎÓë
|
|
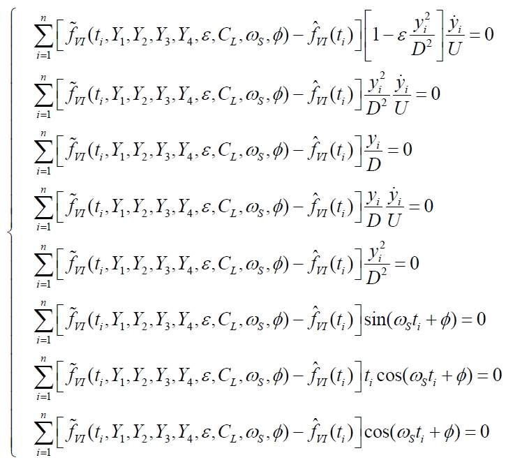
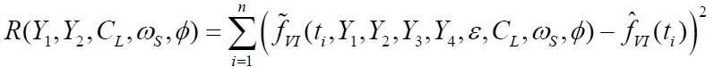
ͼ1ÖÐÊÇÒªÇó½âµÄ°ËÔªÒ»´Î·½³Ì×飬ÀïÃæµÄÓа˸ö´ý½â²ÎÊý£¨¾ÍÊÇСÀ¨ºÅÀï³ötiµÄ°Ë¸ö²ÎÊý£¬tiÊÇʱ¼ä£©£¬ÆäËû²ÎÊý¶¼ÊÇÒÑÖªµÄ£¨yiÊÇÎ»ÒÆÊ±³Ì£¬yiÉÏÒ»µãÊÇËÙ¶Èʱ³Ì£¬DÊǸ߶ȣ¬UÊÇËÙ¶È£¬¼õÊýfvi£¨ti£©ÊÇÁ¦µÄʱ³Ì£©£¬±»¼õÊýÊÇÒ»¸öÓа˸ö´ý½â²ÎÊýµÄº¯Êý£¬º¯ÊýÐÎʽÈçͼ2£¬±¾ÖʾÍÊÇÏëͨ¹ýÒÑÖªµÄÎ»ÒÆÊ±³Ì¡¢ËÙ¶Èʱ³Ì¡¢Á¦µÄʱ³ÌÀ´ÇóµÃδ֪²ÎÊý£¬´Ó¶øÄâºÏµÃµ½±»¼õÊýÕâÒ»º¯Êý¡£ ÈçºÎͨ¹ýÒÑÖªµÄÎ»ÒÆÊ±³Ì¡¢ËÙ¶Èʱ³Ì¡¢Á¦µÄʱ³Ì£¬ÇóµÃÕâ°Ë¸ö²ÎÊý£¬½ø¶øÄâºÏµÃµ½Í¼2Öеĺ¯ÊýͼÏñ£¿ @ÔÂÖ»À¶ ͼ1.jpg ͼ2.jpg |
» ±¾Ìû@֪ͨ
» ²ÂÄãϲ»¶
¹þ¶û±õÀí¹¤´óѧÎïÀíϵÕÐÊÕÎïÀíѧ¿¼Ñе÷¼Á
ÒѾÓÐ7È˻ظ´
0702Ò»Ö¾Ô¸¼ª´óBÇøÇóµ÷¼Á
ÒѾÓÐ5È˻ظ´
ÎïÀíѧIÂÛÎÄÈóÉ«/·ÒëÔõôÊÕ·Ñ?
ÒѾÓÐ240È˻ظ´
Çóµ÷¼Á
ÒѾÓÐ0È˻ظ´
0702Ò»Ö¾Ô¸¼ª´óBÇøÇóµ÷¼ÁÓÐÂÛÎÄ
ÒѾÓÐ0È˻ظ´
ÇëÎÊ»¹ÓÐûÓÐÓÃLatexдÎÄÕµÄС»ï°éÃÇ£¿
ÒѾÓÐ0È˻ظ´
¹âѧ¹¤³Ìѧ˶µ÷¼ÁÐÅÏ¢
ÒѾÓÐ31È˻ظ´
»¶Ó¼ÓÈë¿ÎÌâ×é
ÒѾÓÐ0È˻ظ´
É¢½ð±Ò£¬ÇóºÃÔË£¬×£ÃæÉÏ˳Àû£¡
ÒѾÓÐ68È˻ظ´
»ª¶«Ê¦·¶´óѧоƬÉè¼ÆÐìççÕæÊµË®Æ½Õ¦Ñù
ÒѾÓÐ1È˻ظ´
µ÷¼Á
ÒѾÓÐ0È˻ظ´

ÎÐÕñÔõôÕñ£¿
½ð³æ (СÓÐÃûÆø)
- Ó¦Öú: 20 (СѧÉú)
- ½ð±Ò: 885.2
- É¢½ð: 15
- ºì»¨: 2
- Ìû×Ó: 177
- ÔÚÏß: 36.7Сʱ
- ³æºÅ: 3677628
- ×¢²á: 2015-02-01
- ÐÔ±ð: GG
- רҵ: ·ÀÔÖ¹¤³Ì

2Â¥2015-08-07 15:01:41
ÎÐÕñÔõôÕñ£¿
½ð³æ (СÓÐÃûÆø)
3Â¥2015-08-07 15:02:43
ÎÐÕñÔõôÕñ£¿
½ð³æ (СÓÐÃûÆø)
- Ó¦Öú: 20 (СѧÉú)
- ½ð±Ò: 885.2
- É¢½ð: 15
- ºì»¨: 2
- Ìû×Ó: 177
- ÔÚÏß: 36.7Сʱ
- ³æºÅ: 3677628
- ×¢²á: 2015-02-01
- ÐÔ±ð: GG
- רҵ: ·ÀÔÖ¹¤³Ì
|
ÏÂÃæÊÇÊý¾Ý£¬º¬ÓÐʱ¼ä¡¢Î»ÒÆÊ±³Ì¡¢ËÙ¶Èʱ³ÌºÍÁ¦µÄʱ³Ì¡£ U=9.1£¬D=0.175£¬ÃܶÈrouΪ51.6. |
» ±¾Ìû¸½¼þ×ÊÔ´Áбí
-
»¶Ó¼à¶½ºÍ·´À¡£ºÐ¡Ä¾³æ½öÌṩ½»Á÷ƽ̨£¬²»¶Ô¸ÃÄÚÈݸºÔð¡£
±¾ÄÚÈÝÓÉÓû§×ÔÖ÷·¢²¼£¬Èç¹ûÆäÄÚÈÝÉæ¼°µ½ÖªÊ¶²úȨÎÊÌ⣬ÆäÔðÈÎÔÚÓÚÓû§±¾ÈË£¬Èç¶Ô°æÈ¨ÓÐÒìÒ飬ÇëÁªÏµÓÊÏ䣺xiaomuchong@tal.com - ¸½¼þ 1 : Êý¾Ý.txt
2015-08-07 15:32:37, 1.24 M

4Â¥2015-08-07 15:34:29
ÔÂÖ»À¶
Ö÷¹ÜÇø³¤ (Ö°Òµ×÷¼Ò)
-

ר¼Ò¾Ñé: +1059 - ¼ÆËãÇ¿Ìû: 8
- Ó¦Öú: 1712 (½²Ê¦)
- ¹ó±ö: 8.888
- ½ð±Ò: 68127.7
- É¢½ð: 1938
- ºì»¨: 443
- ɳ·¢: 4
- Ìû×Ó: 4373
- ÔÚÏß: 3291.4Сʱ
- ³æºÅ: 1122189
- ×¢²á: 2010-10-14
- רҵ: ÓîÖæÑ§
- ¹ÜϽ: ¼ÆËãÄ£ÄâÇø
¡¾´ð°¸¡¿Ó¦Öú»ØÌû
¡ï
¸Ðл²ÎÓ룬ӦÖúÖ¸Êý +1
ben_ladeng: ½ð±Ò+1, ÐÁ¿àÁË 2015-08-11 08:16:14
¸Ðл²ÎÓ룬ӦÖúÖ¸Êý +1
ben_ladeng: ½ð±Ò+1, ÐÁ¿àÁË 2015-08-11 08:16:14
|
¾ÍÄâºÏ¶øÑÔ£¬Ê×ÏÈÒªÅжϷ½³ÌÐÎʽÊÇ´úÊýʽ»¹Êdz£Î¢·Ö£¬È»ºóÔÙ¿¼ÂÇ·½³ÌÊÇÏßÐÔ»¹ÊÇ·ÇÏßÐÔ¡£´Óͼ2À´¿´£¬ÎÊÌâÉæ¼°µÄ·½³ÌÊÇ·ÇÏßÐԵij£Î¢·Ö·½³Ì£¬ÆäÖÐ×îÄѽâ¾öµÄÎÊÌâÊÇyµÄµ¼Êýy'±¾ÉíÓÖÊÇÒþʽµÄ¡£ ÒþʽµÄ³£Î¢·Ö·½³ÌµÄÄâºÏÎÊÌ⣬ÎÒ´Óδ½â¾ö¹ý£¬¶øÇÒÄãµÄÊý¾ÝÁ¿´ïµ½ÈýÍò¶àÐУ¬Õâ¸öÎÊÌâÎÒÄÑÒÔ½â¾ö¡£ |

5Â¥2015-08-07 15:54:00
ÎÐÕñÔõôÕñ£¿
½ð³æ (СÓÐÃûÆø)
- Ó¦Öú: 20 (СѧÉú)
- ½ð±Ò: 885.2
- É¢½ð: 15
- ºì»¨: 2
- Ìû×Ó: 177
- ÔÚÏß: 36.7Сʱ
- ³æºÅ: 3677628
- ×¢²á: 2015-02-01
- ÐÔ±ð: GG
- רҵ: ·ÀÔÖ¹¤³Ì

6Â¥2015-08-07 16:06:09
ÎÐÕñÔõôÕñ£¿
½ð³æ (СÓÐÃûÆø)
- Ó¦Öú: 20 (СѧÉú)
- ½ð±Ò: 885.2
- É¢½ð: 15
- ºì»¨: 2
- Ìû×Ó: 177
- ÔÚÏß: 36.7Сʱ
- ³æºÅ: 3677628
- ×¢²á: 2015-02-01
- ÐÔ±ð: GG
- רҵ: ·ÀÔÖ¹¤³Ì

7Â¥2015-08-07 16:10:11
ÔÂÖ»À¶
Ö÷¹ÜÇø³¤ (Ö°Òµ×÷¼Ò)
-

ר¼Ò¾Ñé: +1059 - ¼ÆËãÇ¿Ìû: 8
- Ó¦Öú: 1712 (½²Ê¦)
- ¹ó±ö: 8.888
- ½ð±Ò: 68127.7
- É¢½ð: 1938
- ºì»¨: 443
- ɳ·¢: 4
- Ìû×Ó: 4373
- ÔÚÏß: 3291.4Сʱ
- ³æºÅ: 1122189
- ×¢²á: 2010-10-14
- רҵ: ÓîÖæÑ§
- ¹ÜϽ: ¼ÆËãÄ£ÄâÇø
¡¾´ð°¸¡¿Ó¦Öú»ØÌû
|
Ò²ÐíÓø߰汾µÄ1stOptÈí¼þ¿ÉÒÔÄâºÏÒþʽµÄ³£Î¢·Ö·½³Ì£¬µ«ÎÒÊÖÍ·µÄ°æ±¾ÓÐ4µÄ²ÎÊýÏÞÖÆ£¬ÄãµÄÎÊÌâÉæ¼°8¸ö²ÎÊý¡£Èç¹ûÓи߰汾1stoptÕâ¸öÒ²ÐíÄܸßЧ½â¾ö¡£ ÁíÍ⣬MATLAB±à³ÌÓ¦¸ÃÄÜ×ö£¬ÎÒÖ»ÄÜÌṩһµã˼·£ºÒ»°ãÏÔʽµÄ³£Î¢·Ö·½³ÌÄâºÏ£¬Óà ode45º¯ÊýºÍ lsqnonlinº¯ÊýÁªÓÿÉÒÔÇó½â£¬ÆäÖÐode45ÊÇÇó½âÏÔʽ³£Î¢·Ö·½³ÌµÄ£¬MATLABÓÐÌṩÇó½âÒþʽ³£Î¢·Ö·½³ÌµÄº¯Êýode15i£¬Òò´ËÄãµÄÎÊÌâÓÃode15i º¯ÊýºÍ lsqnonlinº¯ÊýÁªÓÿÉÒÔÒ»ÊÔ£¬²»¹ý¹Ø¼ü»¹ÊÇÄãµÄÊý¾ÝÁ¿Ì«´ó£¬³ÌÐò´úÂë½â¾öÖ®ºó£¬¼ÆËãÁ¿ÓÖÊÇÒ»¸öÎÊÌâ¡£¿ÉÒ԰Ѱ´Ò»¶¨¼ä¾àÌáÈ¡Êý¾Ý£¬±ÈÈçÿ¸ô10¸öȡһ¸öµã£¬ÕâÑùÊý¾ÝÁ¿Ëõ¼õΪ1/10¡£ |

8Â¥2015-08-07 16:11:01
ÎÐÕñÔõôÕñ£¿
½ð³æ (СÓÐÃûÆø)
- Ó¦Öú: 20 (СѧÉú)
- ½ð±Ò: 885.2
- É¢½ð: 15
- ºì»¨: 2
- Ìû×Ó: 177
- ÔÚÏß: 36.7Сʱ
- ³æºÅ: 3677628
- ×¢²á: 2015-02-01
- ÐÔ±ð: GG
- רҵ: ·ÀÔÖ¹¤³Ì

9Â¥2015-08-07 16:21:01
ÔÂÖ»À¶
Ö÷¹ÜÇø³¤ (Ö°Òµ×÷¼Ò)
-

ר¼Ò¾Ñé: +1059 - ¼ÆËãÇ¿Ìû: 8
- Ó¦Öú: 1712 (½²Ê¦)
- ¹ó±ö: 8.888
- ½ð±Ò: 68127.7
- É¢½ð: 1938
- ºì»¨: 443
- ɳ·¢: 4
- Ìû×Ó: 4373
- ÔÚÏß: 3291.4Сʱ
- ³æºÅ: 1122189
- ×¢²á: 2010-10-14
- רҵ: ÓîÖæÑ§
- ¹ÜϽ: ¼ÆËãÄ£ÄâÇø

10Â¥2015-08-07 16:49:18













»Ø¸´´ËÂ¥