| ²é¿´: 475 | »Ø¸´: 2 | ||
³Á˼µÄÕ¾³¤Òø³æ (³õÈëÎÄ̳)
|
[ÇóÖú]
ÇóÖúÒ»¸öÐźÅÓëϵͳµÄСÎÊÌâ. ÒÑÓÐ1È˲ÎÓë
|
|
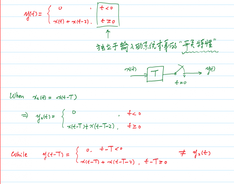
×î½ü¸Õ¿ªÊ¼Ñ§ÐźÅ,Óöµ½Ò»¸öСÎÊÌâ. ÇëÎÊÏÂÕâÀïµÄ(1)ºÍ(2)ÓÐʲô²»Í¬,ΪºÎ(1)ÊÇʱ±äµÄ,ÏÂÃæÐ´µÄÊǶÔ(1)µÄÍÆµ¼,Ã÷Ã÷ÊÇʱ²»±äµÄÂï? |
» ²ÂÄãϲ»¶
Ò»Ö¾Ô¸ÉÂʦ´óÉúÎïѧ071000£¬298·Ö£¬Çóµ÷¼Á
ÒѾÓÐ3È˻ظ´
306Çó0703µ÷¼ÁÒ»Ö¾Ô¸»ªÖÐʦ·¶
ÒѾÓÐ7È˻ظ´
333Çóµ÷¼Á
ÒѾÓÐ3È˻ظ´
335Çóµ÷¼Á
ÒѾÓÐ4È˻ظ´
336Çóµ÷¼Á
ÒѾÓÐ4È˻ظ´
303Çóµ÷¼Á
ÒѾÓÐ4È˻ظ´
085600²ÄÁÏÓ뻯¹¤µ÷¼Á
ÒѾÓÐ6È˻ظ´
291Çóµ÷¼Á
ÒѾÓÐ5È˻ظ´
0703»¯Ñ§Çóµ÷¼Á
ÒѾÓÐ4È˻ظ´
07»¯Ñ§280·ÖÇóµ÷¼Á
ÒѾÓÐ3È˻ظ´

junefi
Ìú¸Ëľ³æ (ÕýʽдÊÖ)
- ÐÅÏ¢EPI: 1
- Ó¦Öú: 49 (СѧÉú)
- ½ð±Ò: 6789.3
- ºì»¨: 8
- ɳ·¢: 1
- Ìû×Ó: 824
- ÔÚÏß: 215.9Сʱ
- ³æºÅ: 1617384
- ×¢²á: 2012-02-14
- ÐÔ±ð: GG
- רҵ: ¿ØÖÆÀíÂÛÓë·½·¨
¡¾´ð°¸¡¿Ó¦Öú»ØÌû
¡ï ¡ï ¡ï ¡ï ¡ï
¸Ðл²ÎÓ룬ӦÖúÖ¸Êý +1
³Á˼µÄÕ¾³¤: ½ð±Ò+5, ¡ï¡ï¡ï¡ï¡ï×î¼Ñ´ð°¸, ÏëÁ˺þö¼²»Ã÷°×.¿´µ½ÄãµÄ»Ø´ð²Å»ÐÈ»´óÎò.лл!! 2015-08-07 18:34:16
¸Ðл²ÎÓ룬ӦÖúÖ¸Êý +1
³Á˼µÄÕ¾³¤: ½ð±Ò+5, ¡ï¡ï¡ï¡ï¡ï×î¼Ñ´ð°¸, ÏëÁ˺þö¼²»Ã÷°×.¿´µ½ÄãµÄ»Ø´ð²Å»ÐÈ»´óÎò.лл!! 2015-08-07 18:34:16

2Â¥2015-08-07 00:00:45
trytocalm
½ð³æ (СÓÐÃûÆø)
- Ó¦Öú: 3 (Ó×¶ùÔ°)
- ½ð±Ò: 1310.1
- É¢½ð: 996
- ºì»¨: 2
- Ìû×Ó: 267
- ÔÚÏß: 300.1Сʱ
- ³æºÅ: 3040891
- ×¢²á: 2014-03-11
- ÐÔ±ð: GG
- רҵ: ͨÐÅÀíÂÛÓëϵͳ
3Â¥2015-08-07 00:22:59













»Ø¸´´ËÂ¥