| ²é¿´: 1836 | »Ø¸´: 1 | |
suchengzheͳæ (³õÈëÎÄ̳)
|
[ÇóÖú]
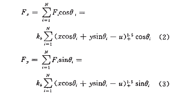
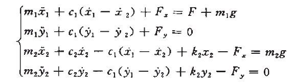
¹ØÓÚ¶¯Á¦Ñ§Ä£Ð͵ijÌÐò±àд£¬ÇëÇó¸ßÈËÇó¾È£¡£¡£¡
|
![]() |
|
|
|
|
|
2Â¥2018-07-27 16:35:51
|
|














»Ø¸´´ËÂ¥