| 查看: 351 | 回复: 0 | ||
[求助]
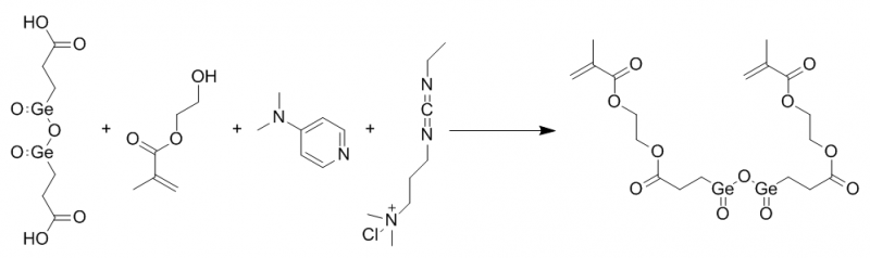
【求助】问一下Ge-132酯化反应的反应具体条件
|
|
想做一个Ge-132与羟乙酯的酯化,用DCC,DMAP做催化剂,但是Ge-132不溶与有机溶剂,换其他类似的Ge类试剂起不到要的效果,现在想用相转移催化剂水相与有机相反应,可能要把羧酸转化为羧酸颜或酰氯,但对相转移催化剂实在是太没谱了,不知道有没有人是做这方面的,问一下酯化的具体条件是什么? 捕获.PNG |
» 猜你喜欢
336求调剂
已经有4人回复
求生物学调剂
已经有8人回复
08生物与医药专硕初试346找调剂
已经有6人回复
生物学327,求调剂
已经有6人回复
0710生物学求调剂
已经有7人回复
385分 生物学(071000)求调剂
已经有4人回复
材料考研调剂
已经有4人回复
366求调剂一志愿东北大学
已经有3人回复
08工科275分求调剂
已经有13人回复
材料工程322分
已经有6人回复














回复此楼