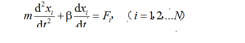
如何用mathematica解这两个方程,并画出xi与t的曲线图,(其中yi=i*h,m = 2.4/10^16; \[Beta] = 5/10^5; G = 82*10^9; v = 0.29; b = 2.5/10^10;
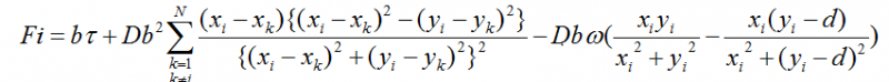
D= G/2 \[Pi]/(1 - v); h = 10 b; w = 0.1; n = 3; d = (n + 1)*h; ff= 0.5*10^9;(ff替代了方程里的一个字符)
求高手帮忙
我的解法是:方程里的f1与f2没有赋值成功,求高手帮忙
m = 2.4/10^16; \[Beta] = 5/10^5; G = 82*10^9; v = 0.29; b = 2.5/10^10;
dd = G/2 \[Pi]/(1 - v); h = 10 b; w = 0.1; n = 3; d = (n + 1)*h; ff =
0.5*10^9;
ClearAll[y, x, f2, f1];
y = Table[i*h, {i, n}]; f2 = Table[1, {n}]; f1 = Table[1, {n}];
For[i = 1, i <= n, i++,
For[k = 1, k <= n, k++,
If[k == i, f2[[k]] = 0,
f2[[k]] = (x[t] -
x[k][t]) ((x[t] - x[k][t])^2 - (y[] -
y[[k]])^2)/((x[t] - x[k][t])^2 + (y[] -
y[[k]])^2)^2]]; f1[] = Apply[Plus, f2]
]; eqns = {Table[{m*x''[t] + \[Beta]*x'[t] - b*ff -
dd*b^2*f1[] +
dd*w*b*(x[t] y[]/(x[t]^2 + y[]^2) -
x[t]*(y[] - d)/(x[t]^2 + (y[] - d)^2)) == 0}, {i,
n}], Table[{x[0] == 0, x'[0] == 0}, {i, n}]};
NDSolve[eqns, Table[x, {i, n}], {t, 0, 0.1/10^9}]
![用mathematica求解微分方程]()
360反馈意见截图1167302256711587.png
![用mathematica求解微分方程-1]()
360反馈意见截图1699120795121125.png |