| 查看: 502 | 回复: 1 | ||
derickofaze金虫 (正式写手)
|
[求助]
利用differential pulse amperometry方法检测不同ph条件下葡萄糖溶液,如何设置??
|
|
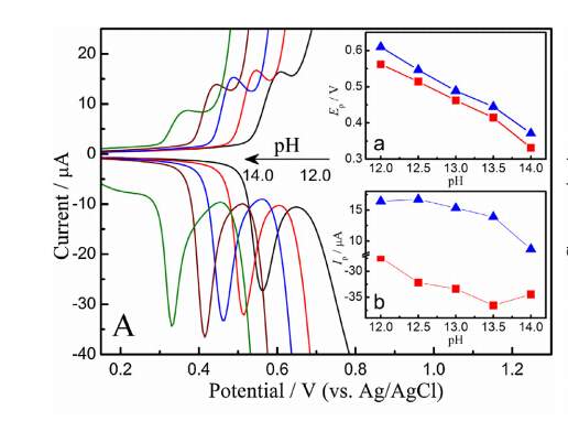
求助各位大神,利用differential pulse amperometry方法检测不同ph条件下葡萄糖溶液,ph设置为12、12.5、13、13.5、14,电极体系为三电极,工作电极为掺硼金刚石电极,文献中有人利用这种方法检测过,小弟也想尝试用这种方法去检测,只是不知道如何设置参数,求助各位啦??如下图所示~~ DPV.jpg DPV01.jpg |
» 猜你喜欢
德国Karlsruhe Institute of Technology招收电化学储能及联合培养CSC博士等
已经有20人回复
德国Karlsruhe Institute of Technology招收电化学储能及联合培养CSC博士
已经有24人回复
分析化学论文润色/翻译怎么收费?
已经有91人回复
德国Karlsruhe Institute of Technology招收电化学储能及联合培养CSC博士
已经有1人回复
固态锂金属电池迁移数计算求助
已经有1人回复
荷兰奈梅亨大学赵文博与Galimberti课题组招收理论计算CSC博士 2000 欧元/月+房补
已经有0人回复
26储能博士申请自荐
已经有23人回复
上海交通大学--宁波东方理工大学电池方向博士招生
已经有10人回复
海南大学全国重点实验室杨金霖老师招收储能电池方向博士生(2026年3月报名,9月入学)
已经有1人回复
海南师范大学2026年博士研究生招收 (在职想提升学历人员可报考) 申请考核制+普通招考
已经有1人回复
申博求助
已经有0人回复

derickofaze
金虫 (正式写手)
- 应助: 2 (幼儿园)
- 金币: 641.9
- 散金: 1743
- 红花: 2
- 帖子: 634
- 在线: 292.2小时
- 虫号: 1967363
- 注册: 2012-09-01
- 性别: GG
- 专业: 电化学

2楼2015-07-30 17:21:34













回复此楼