| 查看: 1563 | 回复: 9 | |
superzhuxun金虫 (小有名气)
|
[求助]
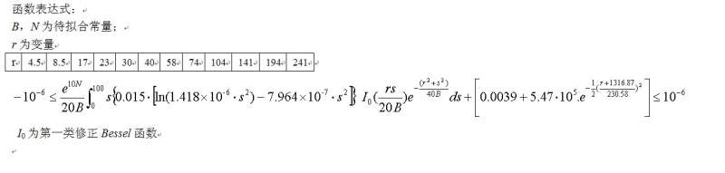
1stOpt代码有问题,还请大神帮忙看看,很着急,解决了又追加,谢谢大家。已有1人参与
|
|
|
|
dingd铁杆木虫 (职业作家)
|
|
|
2楼2015-07-29 22:53:56
|
|
superzhuxun金虫 (小有名气)
|
|
|
3楼2015-07-29 23:01:38
|
|
superzhuxun金虫 (小有名气)
|
|
|
4楼2015-07-29 23:05:17
|
|
dingd铁杆木虫 (职业作家)
|
|
|
5楼2015-07-29 23:21:00
|
|
superzhuxun金虫 (小有名气)
|
|
|
6楼2015-07-29 23:33:02
|
|
dingd铁杆木虫 (职业作家)
|
|
|
7楼2015-07-30 09:17:33
|
|
superzhuxun金虫 (小有名气)
|
|
|
8楼2015-07-30 10:32:01
|
|
dingd铁杆木虫 (职业作家)
|
|
|
9楼2015-07-30 13:56:27
|
|
superzhuxun金虫 (小有名气)
|
|
|
10楼2015-07-30 14:24:31
|
|














回复此楼