| 查看: 384 | 回复: 2 | |
xgy8888铜虫 (小有名气)
|
[求助]
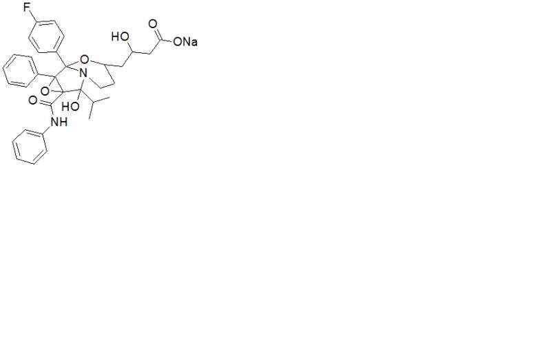
阿托伐他汀衍生物合成路线求助 已有1人参与
|
|
|
|
xgy8888铜虫 (小有名气)
|
|
|
2楼2015-08-28 12:22:02
|
|
manxiao2011木虫 (小有名气)
|
|
|
3楼2015-08-28 13:33:34
|
|














回复此楼