| 查看: 3043 | 回复: 1 | ||
极目苍穹木虫 (正式写手)
|
[求助]
关于洛伦兹介电常数模型的表达形式
|
|
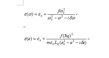
现有两种洛伦兹介电常数模型的表达形式(附件有图片),一种是关于角频率的函数形式,另一种是关于能量(电子伏)的函数形式,问题是这个公式是否可以相互转化,由其中一个经过推到得到另一个,本人初接触这个概念,恳切得到大神的帮助,谢谢! 9@Q(K2)T%~FXU5IEA2TK3$X.png |
» 猜你喜欢
三甲基碘化亚砜的氧化反应
已经有4人回复
请问下大家为什么这个铃木偶联几乎不反应呢
已经有5人回复
请问有评职称,把科研教学业绩算分排序的高校吗
已经有5人回复
孩子确诊有中度注意力缺陷
已经有12人回复
2025冷门绝学什么时候出结果
已经有3人回复
天津工业大学郑柳春团队欢迎化学化工、高分子化学或有机合成方向的博士生和硕士生加入
已经有4人回复
康复大学泰山学者周祺惠团队招收博士研究生
已经有6人回复
AI论文写作工具:是科研加速器还是学术作弊器?
已经有3人回复
论文投稿,期刊推荐
已经有4人回复
硕士和导师闹得不愉快
已经有13人回复

2楼2020-02-14 17:20:44














回复此楼