| ²é¿´: 1389 | »Ø¸´: 10 | |||
ljw1992½ð³æ (СÓÐÃûÆø)
|
[ÇóÖú]
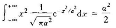
¡¶Á¿×ÓÁ¦Ñ§½Ì³Ì¡·ÖеÄÒ»¸ö»ý·Ö ÒÑÓÐ1È˲ÎÓë
|
||
|
ÕâÊÇÔø½÷ÑÔÁ¿×ÓÁ¦Ñ§½Ì³ÌÖеÚÒ»ÕµÄÒ»¸öϰÌ⣬Óиö»ý·ÖÊÇÕâÑùµÄ£¬´ð°¸Ö±½ÓÌø¹ýÁËÇó½â¹ý³Ì£¬ÔÚÕâÇóÖú »ý·Ö2.jpg |
» ²ÂÄãϲ»¶
286Çóµ÷¼Á
ÒѾÓÐ9È˻ظ´
Ò»Ö¾Ô¸Äϲý´óѧ324Çóµ÷¼Á
ÒѾÓÐ6È˻ظ´
0703»¯Ñ§/290Çóµ÷¼Á/±¾¿Æ¾Àú·á¸»/¹¤¿ÆÒ²¿É
ÒѾÓÐ10È˻ظ´
291Çóµ÷¼Á
ÒѾÓÐ5È˻ظ´
308Çóµ÷¼Á
ÒѾÓÐ7È˻ظ´
085404Çóµ÷¼Á£¬×Ü·Ö309£¬±¾¿Æ¾Àú½ÏΪ·á¸»
ÒѾÓÐ4È˻ظ´
ѹ¹ú¼ÒÒ»ÇøÏߣ¬Çóµ¼Ê¦ÊÕÁô£¬Óж÷±ØÐ»£¡
ÒѾÓÐ3È˻ظ´
Ò»Ö¾Ô¸ÖÐÄÏ´óѧ»¯Ñ§0703×Ü·Ö337Çóµ÷¼Á
ÒѾÓÐ4È˻ظ´
083000ѧ˶274Çóµ÷¼Á
ÒѾÓÐ6È˻ظ´
304Çóµ÷¼Á
ÒѾÓÐ4È˻ظ´
» ±¾Ö÷ÌâÏà¹Ø¼ÛÖµÌùÍÆ¼ö£¬¶ÔÄúͬÑùÓаïÖú:
ÕÔ¿»ª¡¶Ð¸ÅÄîÎïÀí½Ì³Ì¡ª¡ªÁ¿×ÓÎïÀí¡·(ÒÑËÑË÷ÎÞÖØ¸´)
ÒѾÓÐ203È˻ظ´
Å£¶Ùµ½ÅÓ¿¨À³£¬ODE = NP£¿¡ª¡ª³£Î¢·Ö·½³Ì·¢Õ¹Ê·ºÍÆÀÊö ×ªÔØ
ÒѾÓÐ12È˻ظ´
¡¾ÆäËü¡¿×ªÔØ£ºÅ£ÈËÀʵÀ½éÉÜ
ÒѾÓÐ24È˻ظ´
racoon01
ר¼Ò¹ËÎÊ (ÖøÃûдÊÖ)
-

ר¼Ò¾Ñé: +213 - ÎïÀíEPI: 25
- Ó¦Öú: 212 (´óѧÉú)
- ½ð±Ò: 24355.2
- É¢½ð: 27
- ºì»¨: 71
- Ìû×Ó: 2438
- ÔÚÏß: 643.2Сʱ
- ³æºÅ: 1282452
- ×¢²á: 2011-05-01
- רҵ: Öйú½ü´úÊ·¡¢ÏÖ´úÊ·
- ¹ÜϽ: ÎïÀí
¡¾´ð°¸¡¿Ó¦Öú»ØÌû
¡ï ¡ï ¡ï ¡ï ¡ï ¡ï ¡ï ¡ï ¡ï ¡ï ¡ï ¡ï ¡ï ¡ï ¡ï ¡ï ¡ï ¡ï ¡ï ¡ï
¸Ðл²ÎÓ룬ӦÖúÖ¸Êý +1
ljw1992: ½ð±Ò+10, ¡ï¡ï¡ï¡ï¡ï×î¼Ñ´ð°¸, лл´óʦ£¡ 2015-07-26 13:31:30
leongoall: ½ð±Ò+10, Thank you£¡ 2015-07-26 14:39:28
¸Ðл²ÎÓ룬ӦÖúÖ¸Êý +1
ljw1992: ½ð±Ò+10, ¡ï¡ï¡ï¡ï¡ï×î¼Ñ´ð°¸, лл´óʦ£¡ 2015-07-26 13:31:30
leongoall: ½ð±Ò+10, Thank you£¡ 2015-07-26 14:39:28

3Â¥2015-07-26 12:10:37
ÄäÃû
Óû§×¢Ïú (СÓÐÃûÆø)
- Ó¦Öú: 6 (Ó×¶ùÔ°)
- ½ð±Ò: 1174
- ºì»¨: 1
- Ìû×Ó: 59
- ÔÚÏß: 70.2Сʱ
- ³æºÅ: 0
- ×¢²á: 2011-08-29
- רҵ: »ù´¡ÎïÀíѧ
5Â¥2015-07-26 15:29:22
¶«´óСÉú
ľ³æ (ÖøÃûдÊÖ)
- Ó¦Öú: 26 (СѧÉú)
- ½ð±Ò: 2489.3
- É¢½ð: 1188
- ºì»¨: 8
- Ìû×Ó: 1006
- ÔÚÏß: 163.6Сʱ
- ³æºÅ: 3293573
- ×¢²á: 2014-06-26
- ÐÔ±ð: GG
- רҵ: ¹ÌÌåÁ¦Ñ§

2Â¥2015-07-26 12:03:21
ljw1992
½ð³æ (СÓÐÃûÆø)
- Ó¦Öú: 0 (Ó×¶ùÔ°)
- ½ð±Ò: 728.5
- ºì»¨: 1
- Ìû×Ó: 101
- ÔÚÏß: 114.7Сʱ
- ³æºÅ: 2124334
- ×¢²á: 2012-11-13
- ÐÔ±ð: GG
- רҵ: µç»¯Ñ§
4Â¥2015-07-26 13:33:47
474327768
Ìú¸Ëľ³æ (ÖªÃû×÷¼Ò)
- Ó¦Öú: 39 (СѧÉú)
- ½ð±Ò: 7738.8
- É¢½ð: 10
- ºì»¨: 7
- ɳ·¢: 2
- Ìû×Ó: 9470
- ÔÚÏß: 333.2Сʱ
- ³æºÅ: 2018113
- ×¢²á: 2012-09-21
- ÐÔ±ð: GG
- רҵ: Äý¾Û̬ÎïÐÔ II £ºµç×ӽṹ

6Â¥2015-07-26 20:46:34
uvwxmc
½ð³æ (ÕýʽдÊÖ)
- Ó¦Öú: 15 (СѧÉú)
- ½ð±Ò: 2746.1
- ºì»¨: 17
- Ìû×Ó: 433
- ÔÚÏß: 153.3Сʱ
- ³æºÅ: 2521618
- ×¢²á: 2013-06-26
- רҵ: µç´Å³¡Óëµç·
7Â¥2015-07-27 00:14:08
uvwxmc
½ð³æ (ÕýʽдÊÖ)
- Ó¦Öú: 15 (СѧÉú)
- ½ð±Ò: 2746.1
- ºì»¨: 17
- Ìû×Ó: 433
- ÔÚÏß: 153.3Сʱ
- ³æºÅ: 2521618
- ×¢²á: 2013-06-26
- רҵ: µç´Å³¡Óëµç·
8Â¥2015-07-27 00:14:51
³Âˆ?CY
ľ³æ (СÓÐÃûÆø)
- Ó¦Öú: 2 (Ó×¶ùÔ°)
- ½ð±Ò: 1850
- Ìû×Ó: 171
- ÔÚÏß: 108.5Сʱ
- ³æºÅ: 1612624
- ×¢²á: 2012-02-12
- ÐÔ±ð: GG
- רҵ: »ù´¡ÎïÀíѧ
9Â¥2015-07-27 01:16:51
510016832
Òø³æ (СÓÐÃûÆø)
- Ó¦Öú: 14 (СѧÉú)
- ½ð±Ò: 526.6
- É¢½ð: 60
- ºì»¨: 2
- Ìû×Ó: 244
- ÔÚÏß: 57.8Сʱ
- ³æºÅ: 1916524
- ×¢²á: 2012-07-30
- ÐÔ±ð: GG
- רҵ: ¹âѧºÍ¹âµç×Ó²ÄÁÏ

10Â¥2015-07-27 07:22:21














»Ø¸´´ËÂ¥

10