| 查看: 2561 | 回复: 1 | |
[求助]
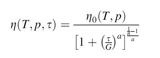
Carreau-Yasuda流体的本构方程如何推导Reynolds方程
|
|
|
|
|
|
2楼2015-07-24 15:38:33
|
|














回复此楼
5