| ²é¿´: 604 | »Ø¸´: 2 | ||
Àî´óÇìľ³æ (ÖøÃûдÊÖ)
|
[ÇóÖú]
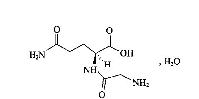
ÔÁÏÒ©±¾ÉíÊÇ·ñÓ°ÏìË®·Ö²â¶¨ ÒÑÓÐ2È˲ÎÓë
|
|
¸öÈËÈÏΪ¸Ã»¯ºÏÎï½á¹¹Ó°ÏìË®·Ö²â¶¨£¬Ë®·Ö²â¶¨²ÉÓ÷ÑÐÝÊÏ·¨£¬¼´ÎÞË®¼×´¼×÷ΪÈܼÁ£¬µâ·Ö×ӺͶþÑõ»¯ÁòÓëË®²ÎÓë·´Ó¦ C52E6EF4-2043-400A-8D66-F13F09F2C344.png |
» ²ÂÄãϲ»¶
ÈçºÎÀí½âhopf map
ÒѾÓÐ0È˻ظ´
ÌáÈ¡Ö×Áö×éÖ¯Ïû»¯ºóµÃµ½µÄÖ×Áöϸ°ûËÀÍöÂʹý¸ß
ÒѾÓÐ0È˻ظ´
Ò©ÀíѧÂÛÎÄÈóÉ«/·ÒëÔõôÊÕ·Ñ?
ÒѾÓÐ296È˻ظ´
WoSÒ»ÇøFrontiers in Genome Editing»ùÒò±à¼·½·¨ÓëÓ¦Ó÷½ÏòרÌâÑû¸å£¨Ó°ÏìÒò×Ó4.9£©
ÒѾÓÐ0È˻ظ´
WoSÒ»ÇøFrontiers in Genome Editing»ùÒò±à¼·½·¨ÓëÓ¦Ó÷½ÏòרÌâÑû¸å£¨Ó°ÏìÒò×Ó4.9£©
ÒѾÓÐ0È˻ظ´
WoSÒ»ÇøFrontiers in Genome Editing»ùÒò±à¼·½·¨ÓëÓ¦Ó÷½ÏòרÌâÑû¸å£¨Ó°ÏìÒò×Ó4.9£©
ÒѾÓÐ0È˻ظ´
WoSÒ»ÇøFrontiers in Genome Editing»ùÒò±à¼·½·¨ÓëÓ¦Ó÷½ÏòרÌâÑû¸å£¨Ó°ÏìÒò×Ó4.9£©
ÒѾÓÐ0È˻ظ´
¹òÇóÒ»Ö§AAV293ϸ°û
ÒѾÓÐ1È˻ظ´
²©µ¼ÍƼö
ÒѾÓÐ2È˻ظ´
ÄÄÀï×ö¸Ê°±ËáÊÜÌåÓëÅäÌå½áºÏÂʵÄÊÔÑé
ÒѾÓÐ0È˻ظ´
¹ØÓÚSCIÔÓÖ¾·¢±í¹ÒÃû
ÒѾÓÐ32È˻ظ´
» ±¾Ö÷ÌâÏà¹ØÉ̼ÒÍÆ¼ö: (ÎÒÒ²ÒªÔÚÕâÀïÍÆ¹ã)
Drug123µ¼º½
½ûÑÔ (³õÈëÎÄ̳)
¡ï
¸Ðл²ÎÓ룬ӦÖúÖ¸Êý +1
Àî´óÇì: ½ð±Ò+1, ¡ïÓаïÖú, ÎÒµÄÒâ˼µÄÊÇ»¯ºÏÎï±¾Éí½á¹¹ÊÇ·ñÓ°Ïì½á¾§Ë®µÄ²â¶¨ 2015-07-24 09:21:05
¸Ðл²ÎÓ룬ӦÖúÖ¸Êý +1
Àî´óÇì: ½ð±Ò+1, ¡ïÓаïÖú, ÎÒµÄÒâ˼µÄÊÇ»¯ºÏÎï±¾Éí½á¹¹ÊÇ·ñÓ°Ïì½á¾§Ë®µÄ²â¶¨ 2015-07-24 09:21:05
|
±¾ÌûÄÚÈݱ»ÆÁ±Î |
2Â¥2015-07-24 09:12:15
keyman95
ÖÁ×ðľ³æ (ÖøÃûдÊÖ)
- Ó¦Öú: 672 (²©Ê¿)
- ½ð±Ò: 10835.9
- É¢½ð: 10
- ºì»¨: 68
- Ìû×Ó: 2460
- ÔÚÏß: 733.4Сʱ
- ³æºÅ: 523017
- ×¢²á: 2008-03-12
- ÐÔ±ð: GG
- רҵ: ÓлúºÏ³É

3Â¥2015-07-27 08:51:43














»Ø¸´´ËÂ¥