| 查看: 424 | 回复: 0 | ||
[求助]
有机合成新手,求薄层色谱分离
|
|
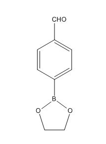
由于实验反应的关系,这一步要求醛保护,由对甲基苯磺酸催化对甲酰基苯硼酸和乙二醇缩合保护。但反应处理完之后仍有部分副产物(只缩合了硼酸)和和原料。经爬板原料和产物点很近,过柱分不开,但溶解度又很近(均溶于碳酸氢钠和氢氧化钠水溶液)。求分离方法。 产物 副产物 原料 |
» 猜你喜欢
复试调剂,一志愿南农083200食品科学与工程
已经有4人回复
一志愿太原理工安全工程300分,求调剂
已经有3人回复
284求调剂
已经有11人回复
食品工程专硕求调剂
已经有3人回复
324求调剂
已经有7人回复
一志愿武汉理工,总分321,英一数二,求老师收留。
已经有4人回复
287求调剂
已经有7人回复
325求调剂
已经有5人回复
343求调剂
已经有4人回复
求调剂推荐 材料 304
已经有4人回复














回复此楼