| ²é¿´: 352 | »Ø¸´: 0 | ||
wen_li_0717гæ (³õÈëÎÄ̳)
|
[ÇóÖú]
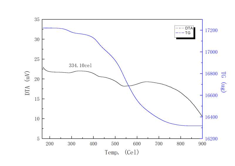
Ñõ»¯Ìú»òÕßÌúµÄÑõ»¯ÎïÔÚ¿óÎï²ÄÁÏÖÐÈÈÖØÇúÏßµÄÎü·Å·åÖµ´ó¸ÅÔÚʲôλÖÃÄØ£¿
|
|
Ò¶À¯Ê¯¿óʯµÄÈÈÖØÇúÏß·ÖÎöÎÊÌâÇó½Ì£¿ ´Ó¸ÃͼÀïµÄÎüÈÈ·ÅÈÈÇé¿öÄÜÅжϳöÓÐfe2o3,»òÕßÀÛÍÐʯµÄ´æÔÚÂð£¿ÄǸöÑõ»¯Ìú»òÕßÌúµÄÑõ»¯ÎïÈÈÖØÇúÏßµÄÎü·Å·åÖµ´ó¸ÅÔÚʲôλÖÃÄØ£¿ ÈÈÖØÍ¼.jpg |
» ²ÂÄãϲ»¶
299Çóµ÷¼Á
ÒѾÓÐ8È˻ظ´
Ò»Ö¾Ô¸±±¾©Àí¹¤´óѧ±¾¿Æ211²ÄÁϹ¤³Ì294Çóµ÷¼Á
ÒѾÓÐ6È˻ظ´
300Çóµ÷¼Á£¬²ÄÁÏ¿ÆÑ§Ó¢Ò»Êý¶þ
ÒѾÓÐ8È˻ظ´
ÕÐÊÕÉúÎïѧ/ϸ°ûÉúÎïѧµ÷¼Á
ÒѾÓÐ5È˻ظ´
070305¸ß·Ö×Ó»¯Ñ§ÓëÎïÀí 304·ÖÇóµ÷¼Á
ÒѾÓÐ7È˻ظ´
289Çóµ÷¼Á
ÒѾÓÐ13È˻ظ´
Ò»Ö¾Ô¸¹þ¶û±õ¹¤Òµ´óѧ²ÄÁÏÓ뻯¹¤·½Ïò336·Ö
ÒѾÓÐ9È˻ظ´
081200-11408-276ѧ˶Çóµ÷¼Á
ÒѾÓÐ6È˻ظ´
µ÷¼ÁÇóԺУÕÐÊÕ
ÒѾÓÐ5È˻ظ´
µ÷¼Á310
ÒѾÓÐ8È˻ظ´














»Ø¸´´ËÂ¥