| ²é¿´: 1772 | »Ø¸´: 1 | ||
jmlv½ð³æ (ÖøÃûдÊÖ)
|
[ÇóÖú]
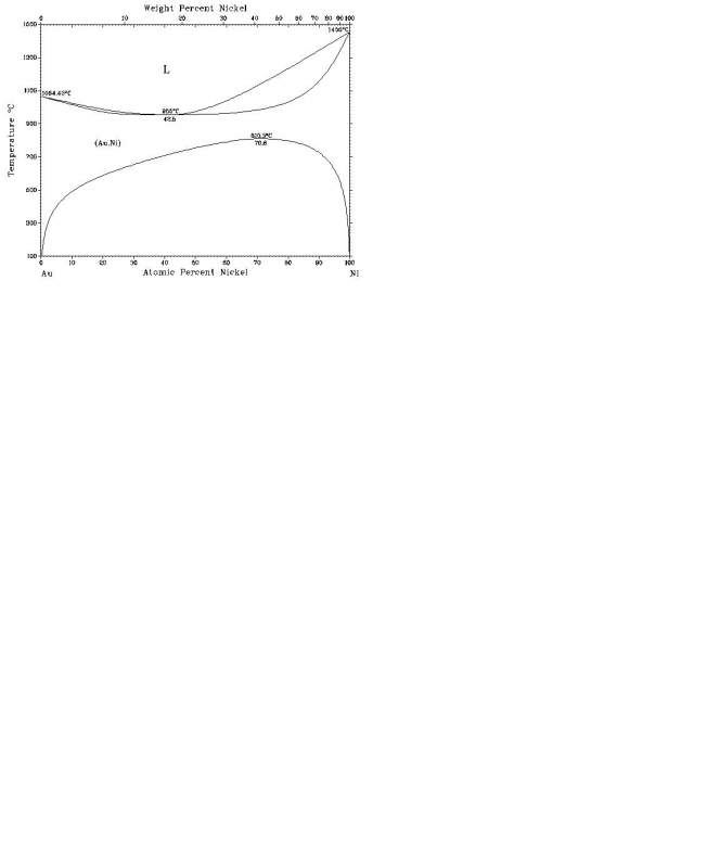
ÇóNi-Au¶þÔªÏàͼ ÒÑÓÐ1È˲ÎÓë
|
| ÇóÄÄλ´óÏÀ·ÖÏíÒ»ÏÂNi-Au¶þÔªÏàͼ£¬»òÕßͼÊé¡¶¶þÔªºÏ½ðÏàͼ¼°ÖмäÏྦྷÌå½á¹¹¡·¡£·îÉÏ20¸ö½ð±Ò£¡ |
» ²ÂÄãϲ»¶
278Çóµ÷¼Á
ÒѾÓÐ15È˻ظ´
284Çóµ÷¼Á
ÒѾÓÐ15È˻ظ´
293µ÷¼Á
ÒѾÓÐ16È˻ظ´
273Çóµ÷¼Á
ÒѾÓÐ45È˻ظ´
22408 266Çóµ÷¼Á
ÒѾÓÐ13È˻ظ´
266Çóµ÷¼Á
ÒѾÓÐ15È˻ظ´
Ò»Ö¾Ô¸»ª¶«Àí¹¤085601²ÄÁϹ¤³Ì303·ÖÇóµ÷¼Á
ÒѾÓÐ9È˻ظ´
ÉúÎïѧ328·ÖÇóµ÷¼Á
ÒѾÓÐ4È˻ظ´
277Çóµ÷¼Á
ÒѾÓÐ6È˻ظ´
265Çóµ÷¼Á
ÒѾÓÐ21È˻ظ´
peterflyer
ľ³æÖ®Íõ (ÎÄѧ̩¶·)
peterflyer
- MM-EPI: 2
- Ó¦Öú: 20282 (Ժʿ)
- ½ð±Ò: 146228
- ºì»¨: 1374
- Ìû×Ó: 93091
- ÔÚÏß: 7694.3Сʱ
- ³æºÅ: 1482829
- ×¢²á: 2011-11-08
- ÐÔ±ð: GG
- רҵ: ¹¦ÄÜÌÕ´É
¡¾´ð°¸¡¿Ó¦Öú»ØÌû
¡ï ¡ï ¡ï ¡ï ¡ï ¡ï ¡ï ¡ï ¡ï ¡ï ¡ï ¡ï ¡ï ¡ï ¡ï ¡ï ¡ï ¡ï ¡ï ¡ï
¸Ðл²ÎÓ룬ӦÖúÖ¸Êý +1
jmlv: ½ð±Ò+10, ¡ï¡ï¡ïºÜÓаïÖú, ÎÒÓÃÍøÂçËÑË÷£¬ÕÒµ½Í¬Ò»ÕÅÏàͼ£¬µ«±ê³ÆÊÇÄ£Äâͼ£¡ÄãµÄͼ³ö×ÔÄÄÀÊÇʵÑéͼÂð£¿ÏÈ·îÉÏ10½ð±Ò£¬´ýÄã»Ø¸´Ö®ºó£¬ÔÙ¿¼ÂÇÊ£Óà10½ð±Ò¡£ 2015-07-23 08:34:19
jmlv: ½ð±Ò+10, ¡ï¡ï¡ï¡ï¡ï×î¼Ñ´ð°¸, ÔÙл£¡·îÉÏÓàÏÂ10½ð±Ò¡£ 2015-07-23 12:31:34
¸Ðл²ÎÓ룬ӦÖúÖ¸Êý +1
jmlv: ½ð±Ò+10, ¡ï¡ï¡ïºÜÓаïÖú, ÎÒÓÃÍøÂçËÑË÷£¬ÕÒµ½Í¬Ò»ÕÅÏàͼ£¬µ«±ê³ÆÊÇÄ£Äâͼ£¡ÄãµÄͼ³ö×ÔÄÄÀÊÇʵÑéͼÂð£¿ÏÈ·îÉÏ10½ð±Ò£¬´ýÄã»Ø¸´Ö®ºó£¬ÔÙ¿¼ÂÇÊ£Óà10½ð±Ò¡£ 2015-07-23 08:34:19
jmlv: ½ð±Ò+10, ¡ï¡ï¡ï¡ï¡ï×î¼Ñ´ð°¸, ÔÙл£¡·îÉÏÓàÏÂ10½ð±Ò¡£ 2015-07-23 12:31:34
2Â¥2015-07-22 15:13:37














»Ø¸´´ËÂ¥