| 查看: 429 | 回复: 1 | |
yandonglin新虫 (小有名气)
|
[求助]
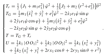
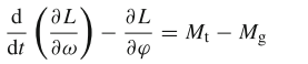
小鲜肉做科创,遇到拉格朗日不会解,有人帮我吗,萌萌哒
|
|
|
|
zhao1996铁杆木虫 (著名写手)
|
|
![]() |
|
|
2楼2015-07-22 13:23:55
|
|















回复此楼

10