| 查看: 305 | 回复: 0 | |||
[交流]
求助,积分的计算
|
|
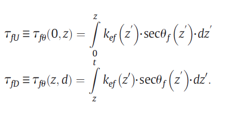
用fortran程序计算光学厚度和上行下行的光学厚度, 光学厚度的公式如下面图片,已知总的厚度t,分为十层,dz也是已知,积分的变量k和角度都是已知的, 因此通过求和可以计算光学厚度。 但是计算上行和下行光学厚度时,怎样通过Fortran 计算呢,怎样确定呢? 拜托拜托 希望大家帮忙解决一下,金币数很少请见谅! 光学厚度的计算.png 上行下行光学厚度.png |
» 猜你喜欢
孩子确诊有中度注意力缺陷
已经有14人回复
三甲基碘化亚砜的氧化反应
已经有4人回复
请问下大家为什么这个铃木偶联几乎不反应呢
已经有5人回复
请问有评职称,把科研教学业绩算分排序的高校吗
已经有5人回复
2025冷门绝学什么时候出结果
已经有3人回复
天津工业大学郑柳春团队欢迎化学化工、高分子化学或有机合成方向的博士生和硕士生加入
已经有4人回复
康复大学泰山学者周祺惠团队招收博士研究生
已经有6人回复
AI论文写作工具:是科研加速器还是学术作弊器?
已经有3人回复
论文投稿,期刊推荐
已经有4人回复
请问2026国家基金面上项目会启动申2停1吗
已经有5人回复














回复此楼