| ²é¿´: 321 | »Ø¸´: 0 | ||
¹â»ÔËêÔÂ1661½ð³æ (СÓÐÃûÆø)
|
[ÇóÖú]
¹ØÓÚÖÊÁ¿·½³ÌµÄÀëÉ¢»¯ÎÊÌâ
|
|
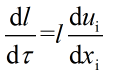
²ËÄñÎÊÌ⣺·½³Ì¼ûͼ¡£ ÇëÎÊÕâ¸ö·½³ÌµÈºÅÓÒ±ßд´íÁËÂ𣿴ÓÖÊÁ¿·½³ÌÍÆ³öµÄ»°Ó¦¸ÃÊÇÆ«Î¢·Ö¡£²»ÂÛÄÇÖÖÐÎʽ£¬Çë¸÷λ´óÏÀ·ÖÎöÒ»ÏÂÓ¦¸ÃÓÃʲô·½·¨°ÑÕâ¸ö·½³ÌÀëÉ¢»¯¡£ ÖÊÁ¿·½³Ì.png |
» ²ÂÄãϲ»¶
ʳƷ¹¤³Ìר˶һ־ԸÖк£Ñó309Çóµ÷¼Á
ÒѾÓÐ8È˻ظ´
Çóµ÷¼Á
ÒѾÓÐ7È˻ظ´
311£¨085601£©Çóµ÷¼Á
ÒѾÓÐ4È˻ظ´
305Çóµ÷¼Á
ÒѾÓÐ4È˻ظ´
Ò»Ö¾Ô¸±±»¯085600²ÄÁÏר˶275|ÓÐÎÄÕÂרÀû£üÇóµ÷¼Á
ÒѾÓÐ7È˻ظ´
Ò»Ö¾Ô¸»ªÀí£¬ÊýÒ»Ó¢Ò»285ÇóAÇøµ÷¼Á
ÒѾÓÐ12È˻ظ´
289Çóµ÷¼Á
ÒѾÓÐ11È˻ظ´
ÉúÎïѧѧ˶£¬Ò»Ö¾Ô¸ºþÄÏ´óѧ£¬³õÊԳɼ¨338
ÒѾÓÐ6È˻ظ´
321Çóµ÷¼Á
ÒѾÓÐ7È˻ظ´
343Çóµ÷¼Á
ÒѾÓÐ4È˻ظ´














»Ø¸´´ËÂ¥