| 查看: 817 | 回复: 7 | ||
[求助]
Fluent6.3 UDSI编程问题 已有2人参与
|
|
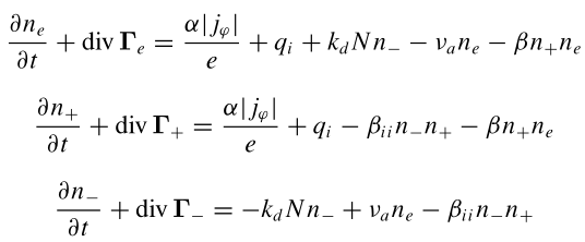
谁能告诉我,当我要求解含有3个UDSI输运方程的方程组,但是每个方程组所要求解的量都在量一个方程中出现,这3个未知量该用UDF的那个编程代码表示啊? %%RTDL6I3BQ@V_@8XHT~%$0.png |
» 猜你喜欢
光学工程学硕调剂信息
已经有32人回复
欢迎加入课题组
已经有0人回复
物理学I论文润色/翻译怎么收费?
已经有236人回复
散金币,求好运,祝面上顺利!
已经有78人回复
华东师范大学芯片设计徐珑真实水平咋样
已经有1人回复
调剂
已经有0人回复
【新加坡】纳米电子器件项目组有“联合培养博士生”名额
已经有0人回复
中德博士后2026项目5月30日截止- 国内博士后入站、德国两年全职
已经有0人回复
面向全球申请人的中德博士后2026项目5月30日截止- 国内博后入站德国两年全职
已经有0人回复
【新加坡】纳米电子器件项目组有“联合培养博士生”名额
已经有2人回复
重庆交大材料学院26年硕士招生复试实施细则已出。欢迎加入光子学微结构与器件课题组。
已经有0人回复

zhouxman
金虫 (小有名气)
- 应助: 51 (初中生)
- 金币: 1363.4
- 散金: 32
- 红花: 5
- 帖子: 299
- 在线: 115.5小时
- 虫号: 1419015
- 注册: 2011-09-27
- 专业: 零件成形制造
2楼2015-07-20 17:28:59
zhouxman
金虫 (小有名气)
- 应助: 51 (初中生)
- 金币: 1363.4
- 散金: 32
- 红花: 5
- 帖子: 299
- 在线: 115.5小时
- 虫号: 1419015
- 注册: 2011-09-27
- 专业: 零件成形制造
3楼2015-07-20 17:30:16

4楼2015-07-20 19:38:29

5楼2015-07-20 19:40:52
zhouxman
金虫 (小有名气)
- 应助: 51 (初中生)
- 金币: 1363.4
- 散金: 32
- 红花: 5
- 帖子: 299
- 在线: 115.5小时
- 虫号: 1419015
- 注册: 2011-09-27
- 专业: 零件成形制造
6楼2015-07-21 09:25:23
zhouxman
金虫 (小有名气)
- 应助: 51 (初中生)
- 金币: 1363.4
- 散金: 32
- 红花: 5
- 帖子: 299
- 在线: 115.5小时
- 虫号: 1419015
- 注册: 2011-09-27
- 专业: 零件成形制造
7楼2015-07-21 09:26:21

8楼2015-07-21 09:53:28













回复此楼