| 查看: 660 | 回复: 3 | ||
Hermano金虫 (小有名气)
|
[求助]
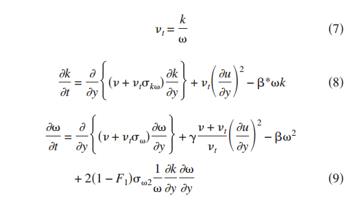
湍流的两方程模型中,有边界条件的话,直接用这两个方程可以求解么?
|
|
小硕一枚,导师让用摄动法求解湍流的两方程模型,方程见图,有边界条件,能不能直接用这2个方程进行求解,得出图2?如果需要还要加什么方程。方程所在论文的题目为:Modeling of a Rough-Wall Oscillatory Boundary Layer Using Two-Equation Turbulence Models 1.png 2.png |
» 猜你喜欢
孩子确诊有中度注意力缺陷
已经有13人回复
三甲基碘化亚砜的氧化反应
已经有4人回复
请问下大家为什么这个铃木偶联几乎不反应呢
已经有5人回复
请问有评职称,把科研教学业绩算分排序的高校吗
已经有5人回复
2025冷门绝学什么时候出结果
已经有3人回复
天津工业大学郑柳春团队欢迎化学化工、高分子化学或有机合成方向的博士生和硕士生加入
已经有4人回复
康复大学泰山学者周祺惠团队招收博士研究生
已经有6人回复
AI论文写作工具:是科研加速器还是学术作弊器?
已经有3人回复
论文投稿,期刊推荐
已经有4人回复
硕士和导师闹得不愉快
已经有13人回复
» 本主题相关价值贴推荐,对您同样有帮助:
高雷诺数方程和低雷诺数方程如何理解?
已经有3人回复
非线性科学丛书
已经有87人回复
关于湍流的几个作业题,请高手帮忙。
已经有3人回复
【转帖】流体力学的路线图(转自流体中文网周华的博客)
已经有60人回复
【转载】CFD软件的精度与可信度【已搜索无重复】
已经有44人回复
【分享博文】CFD并非只是软件(转自流沙)【已搜索无重复】
已经有67人回复
一个老生常谈的话题----亚松弛因子
已经有28人回复
转载:离散相模型与多相流模型的区别
已经有5人回复
Fluent模拟层流罩中的层流情况,可以用湍流模型吗?层流模型的控制方程是什么呢?
已经有1人回复

2楼2015-07-20 15:57:07
Hermano
金虫 (小有名气)
- 应助: 0 (幼儿园)
- 金币: 1405.6
- 散金: 200
- 帖子: 122
- 在线: 62.3小时
- 虫号: 3349430
- 注册: 2014-08-02
- 性别: GG
- 专业: 河流海岸动力学与泥沙研究
3楼2015-07-20 16:43:03

4楼2015-07-22 17:20:07














回复此楼
Hermano