| 查看: 1315 | 回复: 9 | |||
[交流]
电化学小白 请大神解答问题 已有4人参与
|
|
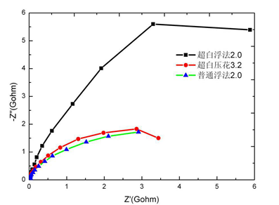
下图的测试条件: 电压:3v 扰幅:1v 测试频率:1Hz-100Hz 测试样品:不同厚度玻璃 请问下图,1.为什么不是一个完整的半圆呢?是因为我的低频段还不够低吗?2.我用绝缘电阻仪测出玻璃的电阻值在几百GΩ,可否和这张图结合一起来看? 1.png |
» 猜你喜欢
招收
已经有0人回复
西南某211招27届博士
已经有33人回复
分析化学论文润色/翻译怎么收费?
已经有216人回复
大连工业杰青/长江团队-生物质材料-储能电池方向招收2026级博士生
已经有0人回复
求调剂一志愿海大,0703化学学硕304分,有大创项目,四级已过
已经有10人回复
070300 求调剂
已经有1人回复
深圳大学高等研究院赵伟课题组招收化学调剂生
已经有3人回复
青岛大学固态电池研究团队招收材料、化学、物理等方向博士研究生
已经有28人回复
化学工程085602 305分求调剂
已经有12人回复
龋病与牙周病的表述
已经有0人回复
070300化学求调剂
已经有10人回复
2楼2015-07-20 10:11:48
3楼2015-07-22 09:38:24
4楼2015-07-22 09:49:52
5楼2015-07-22 23:35:37
bluesky0303
铁杆木虫 (著名写手)
- 应助: 29 (小学生)
- 金币: 7754.6
- 散金: 36
- 红花: 9
- 帖子: 1109
- 在线: 340.2小时
- 虫号: 116104
- 注册: 2005-11-25
- 性别: MM
- 专业: 电化学
6楼2015-07-23 02:40:56
7楼2015-07-24 10:02:06
8楼2015-07-24 18:28:13
9楼2015-07-25 11:38:15
10楼2015-07-26 13:28:52













回复此楼