| 查看: 1092 | 回复: 3 | |||
[求助]
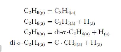
乙烷催化裂解过程中形成的 di-σ-C2H4 是什么 已有2人参与
|
|||
|
|
|||
guozl专家顾问 (著名写手)
|
|||
![]() |
|||
|
2楼2015-08-01 16:09:00
|
|
||
|
3楼2015-08-01 18:16:12
|
|
||
|
4楼2015-08-01 18:17:09
|
|













回复此楼
