| 查看: 467 | 回复: 1 | ||
[求助]
请帮忙看看这张图是用什么软件做的呢? 已有1人参与
|
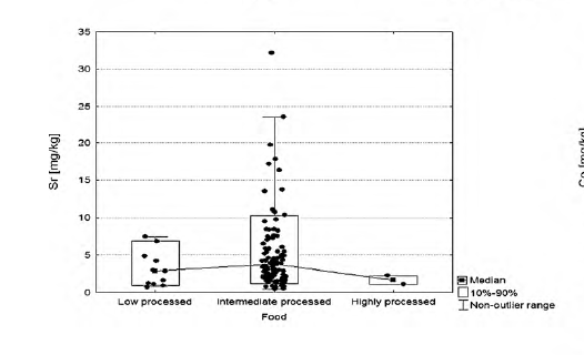
如题,这张图中有3个组,每组的图代表最高值,最低值,和平均值,这个倒可以在Origin中实现,但在每个组里面还要加上样本的具体分布就不造怎么做出来的,求救啦![]() 3UO23WE0_XUYB@M`47TAVCS.png |
» 猜你喜欢
求助锌粉-氯化铵体系还原己醛的 气相色谱检测
已经有0人回复
哈尔滨工业大学张洪教授招收2026年博士研究生
已经有0人回复
环境化学论文润色/翻译怎么收费?
已经有233人回复
哈尔滨工业大学张洪教授招收2026年硕士研究生
已经有2人回复
中文新污染物综述 投稿期刊推荐
已经有1人回复
国家级青年人才课题组招收2026级硕士研究生
已经有22人回复
博士招生
已经有16人回复
广东工业大学薛靖川课题组诚聘环境博士后
已经有0人回复
面上模版使用时复制图片时有点问题。
已经有4人回复
江西景德镇某大学接受调剂:环境科学与工程专业
已经有12人回复
2楼2015-07-16 17:46:15














回复此楼