| 查看: 1578 | 回复: 10 | ||
| 当前只显示满足指定条件的回帖,点击这里查看本话题的所有回帖 | ||
月出青云金虫 (小有名气)
|
[求助]
请各位大神帮忙分析下恒电流曲线 已有2人参与
|
|
|
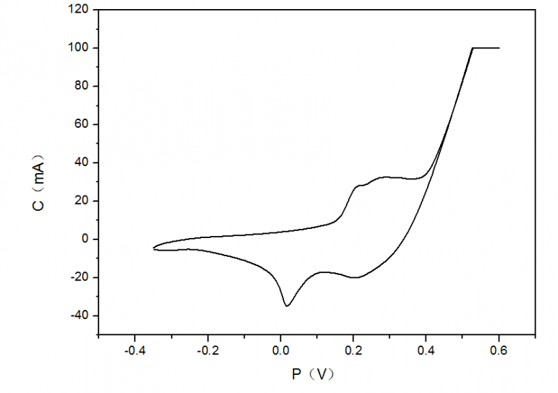
样品是泡沫镍负载的金属氧化物,电解液是6MKOH。测试中出现的问题如下:第一,静置后直接测试恒电流,窗口是0-0.5V,但电压到0.5V就充不上去了,然后一直充电,无法放电;然而将电压降低到0.48V就可以进行完整的测试。第二,测试过CV后再进行恒电流测试,设置窗口为0.2-0.8V,可以进行完整充放电测试,而且性能更好些。请问各位大侠原因是什么? 第一种.png 第二种.png |
» 猜你喜欢
意大利博洛尼亚大学招聘研究助理2名(2D材料/锂离子与钠离子电池方向)
已经有1人回复
关于碳量子点抗菌的研究
已经有15人回复
分析化学论文润色/翻译怎么收费?
已经有290人回复
南大化学调剂
已经有11人回复
硫酸钠溶液浓度与密度曲线
已经有0人回复
0703调剂
已经有2人回复
1
已经有19人回复
0703 调剂
已经有4人回复
招收
已经有0人回复
西南某211招27届博士
已经有18人回复
» 本主题相关价值贴推荐,对您同样有帮助:
uasb进水正常的情况下,出水COD突然从1400升到3500.请各位大神帮帮忙!
已经有3人回复
各位大神,请帮帮忙给分析下我的论文还有救么?
已经有15人回复
是走还是留??无比纠结ing~~请各位大神帮忙分析下啦~~
已经有4人回复
两个样品的BET数据分析,写论文用的~~~请各位大神帮忙看下
已经有0人回复
请大神帮忙看下,四氧化三铁的热重曲线,帮忙分析下。
已经有1人回复
导师终于给回信了,不太明白老师的意思,求各位大神帮忙分析下
已经有12人回复
速求各位大神指点,小弟感激不尽!
已经有4人回复
编辑的回复,请各位大神帮忙分析一下,谢谢!
已经有6人回复
求各位大神帮忙分析下红外光谱图,988和725那两个波谷!
已经有2人回复
请各位大神帮忙分析下这张核磁氢谱7.26处是什么产生的峰 重谢
已经有21人回复
菜鸟请各位分析大神指导
已经有2人回复
请各位大神帮忙分析个红外谱图
已经有8人回复
请虫友大神们分析下两位导师回复,该如何抉择?
已经有4人回复
实验思路求助各位大神帮忙分析下
已经有1人回复
请各位大神帮忙看一下红外~!!不甚感激
已经有6人回复
【求助】关于考研的几个问题,请各位大神帮忙解答一下
已经有12人回复

月出青云
金虫 (小有名气)
- 应助: 3 (幼儿园)
- 金币: 604.9
- 散金: 59
- 帖子: 149
- 在线: 64.8小时
- 虫号: 2406534
- 注册: 2013-04-08
- 性别: GG
- 专业: 电化学

8楼2015-07-16 20:41:46
zjlbnsdmm
铁杆木虫 (正式写手)
- 应助: 67 (初中生)
- 金币: 7105.2
- 散金: 126
- 红花: 8
- 帖子: 839
- 在线: 627.9小时
- 虫号: 1910504
- 注册: 2012-07-25
- 性别: GG
- 专业: 电化学
2楼2015-07-16 10:58:36
月出青云
金虫 (小有名气)
- 应助: 3 (幼儿园)
- 金币: 604.9
- 散金: 59
- 帖子: 149
- 在线: 64.8小时
- 虫号: 2406534
- 注册: 2013-04-08
- 性别: GG
- 专业: 电化学

3楼2015-07-16 13:58:55
zjlbnsdmm
铁杆木虫 (正式写手)
- 应助: 67 (初中生)
- 金币: 7105.2
- 散金: 126
- 红花: 8
- 帖子: 839
- 在线: 627.9小时
- 虫号: 1910504
- 注册: 2012-07-25
- 性别: GG
- 专业: 电化学
4楼2015-07-16 14:04:32













回复此楼