| 查看: 1115 | 回复: 10 | |||
superzhuxun金虫 (小有名气)
|
[求助]
求助求助 方程的求解 解答完毕也追加已有1人参与
|
||
|
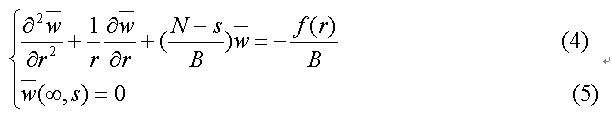
就是解一个小的方程,原方程已经由laplace变换过,变换过的方程见附件图 其中:N,B都为常数,且都大于0;s为laplace的变换变量;r>0;s>0。 希望大神能帮小弟解答出原函数w(r,t),小弟感激不尽。 2015-07-14 14_23_49-新建 Microsoft Word 文档 - Microsoft Word.jpg |
» 猜你喜欢
寻求一种能扛住强氧化性腐蚀性的容器密封件
已经有7人回复
到新单位后,换了新的研究方向,没有团队,持续积累2区以上论文,能申请到面上吗
已经有8人回复
申请2026年博士
已经有6人回复
请问哪里可以有青B申请的本子可以借鉴一下。
已经有5人回复
天津工业大学郑柳春团队欢迎化学化工、高分子化学或有机合成方向的博士生和硕士生加入
已经有5人回复
2025冷门绝学什么时候出结果
已经有7人回复
请问有评职称,把科研教学业绩算分排序的高校吗
已经有6人回复
Bioresource Technology期刊,第一次返修的时候被退回好几次了
已经有7人回复
请问下大家为什么这个铃木偶联几乎不反应呢
已经有5人回复
康复大学泰山学者周祺惠团队招收博士研究生
已经有6人回复
mathstudy
金虫 (正式写手)
- 数学EPI: 2
- 应助: 161 (高中生)
- 金币: 4320.1
- 散金: 38
- 红花: 16
- 帖子: 446
- 在线: 141.1小时
- 虫号: 2515489
- 注册: 2013-06-20
- 性别: GG
- 专业: 计算数学与科学工程计算
【答案】应助回帖
感谢参与,应助指数 +1
| 楼主 L式变换后的(4) 类似于 柱坐标下的二阶常微分方程边值问题,需要注意的是 应该是还有另外一个边值条件(或者暗含w(0,t)有界);可以考虑Hankel积分变换https://en.wikipedia.org/wiki/Hankel_transform |
2楼2015-07-15 22:00:15
superzhuxun
金虫 (小有名气)
- 应助: 0 (幼儿园)
- 金币: 359.4
- 帖子: 64
- 在线: 145.7小时
- 虫号: 2927450
- 注册: 2014-01-12
- 性别: GG
- 专业: 岩土力学与岩土工程
3楼2015-07-15 23:49:38
feixiaolin
荣誉版主 (文坛精英)
-

专家经验: +518 - 应助: 942 (博后)
- 贵宾: 1.275
- 金币: 2930
- 散金: 58785
- 红花: 532
- 沙发: 11
- 帖子: 24215
- 在线: 2601.8小时
- 虫号: 2139575
- 注册: 2012-11-21
- 专业: 光学信息获取与处理
- 管辖: 数学
4楼2015-07-16 11:30:56
superzhuxun
金虫 (小有名气)
- 应助: 0 (幼儿园)
- 金币: 359.4
- 帖子: 64
- 在线: 145.7小时
- 虫号: 2927450
- 注册: 2014-01-12
- 性别: GG
- 专业: 岩土力学与岩土工程
5楼2015-07-16 15:02:28
superzhuxun
金虫 (小有名气)
- 应助: 0 (幼儿园)
- 金币: 359.4
- 帖子: 64
- 在线: 145.7小时
- 虫号: 2927450
- 注册: 2014-01-12
- 性别: GG
- 专业: 岩土力学与岩土工程
6楼2015-07-18 17:01:40
mathstudy
金虫 (正式写手)
- 数学EPI: 2
- 应助: 161 (高中生)
- 金币: 4320.1
- 散金: 38
- 红花: 16
- 帖子: 446
- 在线: 141.1小时
- 虫号: 2515489
- 注册: 2013-06-20
- 性别: GG
- 专业: 计算数学与科学工程计算
7楼2015-07-19 00:32:55
superzhuxun
金虫 (小有名气)
- 应助: 0 (幼儿园)
- 金币: 359.4
- 帖子: 64
- 在线: 145.7小时
- 虫号: 2927450
- 注册: 2014-01-12
- 性别: GG
- 专业: 岩土力学与岩土工程
8楼2015-07-19 09:54:25
superzhuxun
金虫 (小有名气)
- 应助: 0 (幼儿园)
- 金币: 359.4
- 帖子: 64
- 在线: 145.7小时
- 虫号: 2927450
- 注册: 2014-01-12
- 性别: GG
- 专业: 岩土力学与岩土工程
9楼2015-07-21 23:57:52
mathstudy
金虫 (正式写手)
- 数学EPI: 2
- 应助: 161 (高中生)
- 金币: 4320.1
- 散金: 38
- 红花: 16
- 帖子: 446
- 在线: 141.1小时
- 虫号: 2515489
- 注册: 2013-06-20
- 性别: GG
- 专业: 计算数学与科学工程计算
【答案】应助回帖
» 本帖附件资源列表
-
欢迎监督和反馈:小木虫仅提供交流平台,不对该内容负责。
本内容由用户自主发布,如果其内容涉及到知识产权问题,其责任在于用户本人,如对版权有异议,请联系邮箱:xiaomuchong@tal.com - 附件 1 : 页面提取自-Integral_Transforms_and_their_Applications.pdf
2015-07-22 09:49:32, 95.15 K
10楼2015-07-22 09:50:01













回复此楼

