| 查看: 488 | 回复: 3 | ||
sujie0309金虫 (小有名气)
|
[求助]
无紫外吸收的反应液如何中控呢? 已有1人参与
|
|
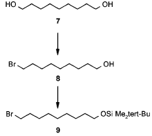
如下图,这几个反应如何进行中控呢? 我目前用的是GC法,hp-5的细柱子,进样口180°,检测器250°,流速2.0,分流比30:1. 担心有杂质未检出,影响下一步的反应。大家有什么高见?用气相检测反应进度靠谱吗?无紫外吸收的反应液如何中控呢? 1.png 2.png |
» 猜你喜欢
327求调剂
已经有16人回复
085600材料与化工329分求调剂
已经有16人回复
考研调剂
已经有8人回复
279学硕食品专业求调剂院校
已经有23人回复
各位老师好,求调剂,本科211,一志愿天津大学生物与医药学硕,差两名录取。
已经有8人回复
288求调剂,一志愿华南理工大学071005
已经有21人回复
化学070300 求调剂
已经有19人回复
B区0809 ,数一英一,290 求调剂
已经有4人回复
290求调剂
已经有16人回复
274求调剂
已经有8人回复
鸭绿江畔
铁杆木虫 (著名写手)
牛B
- ACI: 4
- 应助: 839 (博后)
- 贵宾: 0.384
- 金币: 12365.3
- 红花: 83
- 帖子: 1723
- 在线: 656.6小时
- 虫号: 294537
- 注册: 2006-11-09
- 性别: GG
- 专业: 天然药物化学

2楼2015-07-15 09:37:50
sujie0309
金虫 (小有名气)
- 应助: 0 (幼儿园)
- 金币: 649
- 散金: 10
- 帖子: 112
- 在线: 29.8小时
- 虫号: 492552
- 注册: 2008-01-09
- 性别: MM
- 专业: 药物分析
3楼2015-07-15 12:20:45
鸭绿江畔
铁杆木虫 (著名写手)
牛B
- ACI: 4
- 应助: 839 (博后)
- 贵宾: 0.384
- 金币: 12365.3
- 红花: 83
- 帖子: 1723
- 在线: 656.6小时
- 虫号: 294537
- 注册: 2006-11-09
- 性别: GG
- 专业: 天然药物化学

4楼2015-07-15 15:30:39














回复此楼