| ²é¿´: 495 | »Ø¸´: 2 | |
pizige3ͳæ (СÓÐÃûÆø)
|
[ÇóÖú]
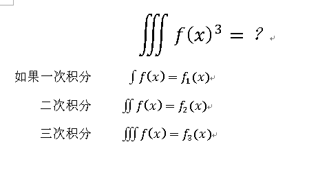
ÇóÖú£¬∭▒¡¼f(x)¡½^3 Äܲ»ÄܼÆËã ÒÑÓÐ1È˲ÎÓë
|
![]() |
|
|
|
|
pizige3ͳæ (СÓÐÃûÆø)
|
|
![]() |
|
|
2Â¥2016-05-08 21:31:40
|
|
syddeskľ³æ (ÕýʽдÊÖ)
|
|
|
3Â¥2016-05-08 23:45:58
|
|













»Ø¸´´ËÂ¥
5