| ²é¿´: 1229 | »Ø¸´: 5 | ||||
Ñà´óÀÏţľ³æ (ÕýʽдÊÖ)
|
[ÇóÖú]
ºÏ½ðÔªËØ¶ÔÖé¹âÌå¹²ÎöµãµÄÓ°Ïì ÒÑÓÐ3È˲ÎÓë
|
| ºÏ½ðÔªËØ¶ÔÖé¹âÌå¹²ÎöµãµÄÓ°ÏìÖ»ÓÐʾÒâÐÔµÄÃèÊö£¬ÓÐûÓй«Ê½ÀàµÄ¼ÆË㣬¿ÉÒÔ¶¨Á¿¼ÆËãºÏ½ðÔªËØ¶Ô¹²Îöµãζȼ°Ì¼º¬Á¿µÄÓ°Ï졣лл |
» ²ÂÄãϲ»¶
327Çóµ÷¼Á
ÒѾÓÐ28È˻ظ´
Ò»Ö¾Ô¸Öпƴó²ÄÁÏÓ뻯¹¤£¬353·Ö»¹Óе÷¼ÁѧУÂð
ÒѾÓÐ6È˻ظ´
0854Çóµ÷¼Á
ÒѾÓÐ17È˻ظ´
ÊÛSCIÒ»ÇøÎÄÕ£¬ÎÒ:8.O.5.5.1.O.5.4,¿ÆÄ¿ÆëÈ«,¿É+¼±
ÒѾÓÐ3È˻ظ´
ҩѧÇóµ÷¼Á
ÒѾÓÐ15È˻ظ´
³õÊÔ324 ÖÐҩѧ Ò»Ö¾Ô¸ÌìÖÐÒ½ Çóµ÷¼Á
ÒѾÓÐ4È˻ظ´
279ѧ˶ʳƷרҵÇóµ÷¼ÁԺУ
ÒѾÓÐ29È˻ظ´
294Çóµ÷¼Á
ÒѾÓÐ10È˻ظ´
¿ÒÇëÓÐѧУÊÕÁô
ÒѾÓÐ6È˻ظ´
Çóµ÷¼ÁÍÆ¼ö
ÒѾÓÐ8È˻ظ´
» ±¾Ö÷ÌâÏà¹Ø¼ÛÖµÌùÍÆ¼ö£¬¶ÔÄúͬÑùÓаïÖú:
¹²Îö¸Ö100%Öé¹âÌ庬Á¿µÄÁ¿¡¢×éÖ¯ÓëÌå»ýµÄ½âÊÍ
ÒѾÓÐ4È˻ظ´
²»Ðâ¸Ö°ÂÊÏÌåµÄÈÍÐÔÒ»°ãÒªÔ¶Ô¶ºÃÓÚÌúËØÌå±´ÊÏÌåÂíÊÏÌåÈÍÐÔ£¬ÎªÊ²Ã´
ÒѾÓÐ3È˻ظ´
ΪʲôÈÈÔþ¸ÖµÄ´ø×´×éÖ¯¿ÉÒÔͨ¹ýÕý»ð´¦Àí£¿
ÒѾÓÐ4È˻ظ´
½ðÊôÔ´´ÐÂÀíÂÛµÄÖ÷ÒªÂÛµã
ÒѾÓÐ18È˻ظ´
ÔõÃ´Çø±ðÌúËØÌåÓëÂíÊÏÌ壬ÒÔ¼°²ÐÓà°ÂÊÏÌ壿
ÒѾÓÐ26È˻ظ´
ÊÔ·ÖÎöÀäÈ´ËٶȶԹýÀä°ÂÊÏÌåת±äµÄÓ°Ïì
ÒѾÓÐ5È˻ظ´
¹ØÓÚÌú̼ÏàͼµÄÒ»¸ö˼¿¼¡£
ÒѾÓÐ18È˻ظ´
¡¾ÇóÖú¡¿ºÏ½ð¸ÖÔõÃ´Çø·ÖÑǹ²Îö¸Ö¡¢¹²Îö¸Ö¡¢¹ý¹²Îö¸Ö£¿Çó½Ì
ÒѾÓÐ7È˻ظ´
¡¾ÌÖÂÛ¡¿ÓÐûÓÐÈËÖªµÀ¹²Îö¸ÖÁ¬ÐøÀäÈ´µÄʱºòÄܲ»Äܵõ½±´ÊÏÌå×éÖ¯
ÒѾÓÐ6È˻ظ´

¡¶²ÝԵķ硷
ÖÁ×ðľ³æ (Ö°Òµ×÷¼Ò)
- Ó¦Öú: 854 (²©ºó)
- ½ð±Ò: 17418.3
- ºì»¨: 102
- Ìû×Ó: 3287
- ÔÚÏß: 961.4Сʱ
- ³æºÅ: 2536060
- ×¢²á: 2013-07-07
- ÐÔ±ð: GG
- רҵ: ½ðÊô½á¹¹²ÄÁÏ
¡¾´ð°¸¡¿Ó¦Öú»ØÌû
¡ï ¡ï ¡ï ¡ï ¡ï
¸Ðл²ÎÓ룬ӦÖúÖ¸Êý +1
Ñà´óÀÏÅ£: ½ð±Ò+5, ¡ï¡ï¡ïºÜÓаïÖú 2015-07-09 12:37:26
¸Ðл²ÎÓ룬ӦÖúÖ¸Êý +1
Ñà´óÀÏÅ£: ½ð±Ò+5, ¡ï¡ï¡ïºÜÓаïÖú 2015-07-09 12:37:26

2Â¥2015-07-07 21:43:10
comma
ר¼Ò¹ËÎÊ (ÖªÃû×÷¼Ò)
²ÄÁÏÈË
-

ר¼Ò¾Ñé: +552 - MM-EPI: 36
- Ó¦Öú: 501 (²©Ê¿)
- ¹ó±ö: 0.868
- ½ð±Ò: 54428
- ºì»¨: 247
- Ìû×Ó: 7677
- ÔÚÏß: 1649.3Сʱ
- ³æºÅ: 190601
- ×¢²á: 2006-02-20
- רҵ: ½ðÊô²ÄÁϵÄ΢¹Û½á¹¹
- ¹ÜϽ: ½ðÊô
¡¾´ð°¸¡¿Ó¦Öú»ØÌû
¡ï ¡ï ¡ï ¡ï ¡ï
¸Ðл²ÎÓ룬ӦÖúÖ¸Êý +1
Ñà´óÀÏÅ£: ½ð±Ò+5, ¡ï¡ï¡ïºÜÓаïÖú 2015-07-09 12:40:29
¸Ðл²ÎÓ룬ӦÖúÖ¸Êý +1
Ñà´óÀÏÅ£: ½ð±Ò+5, ¡ï¡ï¡ïºÜÓаïÖú 2015-07-09 12:40:29
|
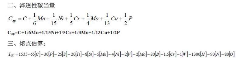
ÓÃ̼µ±Á¿£¬°ÑÆäËûºÏ½ðÔªËØÕÛËã³É̼º¬Á¿£¬»ùÓÚÌú̼ÏàͼÅÐ¶Ï Ì¼¸Ö¼°ºÏ½ð½á¹¹¸ÖµÄ̼µ±Á¿¾Ñ鹫ʽ Cµ±Á¿=[C+Mn/6+(Cr+Mo+V)/5+(Ni+Cu)/15]*100% ʽÖÐ:C¡¢Mn¡¢Cr¡¢Mo¡¢V¡¢Ni¡¢CuΪ¸ÖÖиÃÔªËØº¬Á¿ |

3Â¥2015-07-08 00:10:19
Ñà´óÀÏÅ£
ľ³æ (ÕýʽдÊÖ)
- Ó¦Öú: 2 (Ó×¶ùÔ°)
- ½ð±Ò: 3185.9
- É¢½ð: 47
- ºì»¨: 1
- Ìû×Ó: 695
- ÔÚÏß: 246.2Сʱ
- ³æºÅ: 1899889
- ×¢²á: 2012-07-18
- ÐÔ±ð: GG
- רҵ: ½ðÊô½á¹¹²ÄÁÏ

4Â¥2015-07-09 12:39:03
Ñà´óÀÏÅ£
ľ³æ (ÕýʽдÊÖ)
- Ó¦Öú: 2 (Ó×¶ùÔ°)
- ½ð±Ò: 3185.9
- É¢½ð: 47
- ºì»¨: 1
- Ìû×Ó: 695
- ÔÚÏß: 246.2Сʱ
- ³æºÅ: 1899889
- ×¢²á: 2012-07-18
- ÐÔ±ð: GG
- רҵ: ½ðÊô½á¹¹²ÄÁÏ

5Â¥2015-07-09 12:41:45
hong-yi
ľ³æ (СÓÐÃûÆø)
- Ó¦Öú: 1 (Ó×¶ùÔ°)
- ½ð±Ò: 1660.6
- ºì»¨: 22
- Ìû×Ó: 220
- ÔÚÏß: 30.6Сʱ
- ³æºÅ: 3075265
- ×¢²á: 2014-03-20
- ÐÔ±ð: GG
- רҵ: ¸ÖÌúÒ±½ð
¡¾´ð°¸¡¿Ó¦Öú»ØÌû
|
ÓÐÕâÑùµÄ¹«Ê½£¬¿ÉÒÔ¿´¿´ÎÒ·¢µÄÌû×Ó£¬ÓиöÌú̼Ïàͼ£¬ÀïÃæÓÐÎұ༵Äͼ±êºÍ¹«Ê½¡£ ·¢×ÔСľ³æIOS¿Í»§¶Ë |
6Â¥2018-02-03 06:58:59













»Ø¸´´ËÂ¥