| 查看: 223 | 回复: 1 | ||
铋酸钠银虫 (小有名气)
|
[求助]
求帮助?
|
|
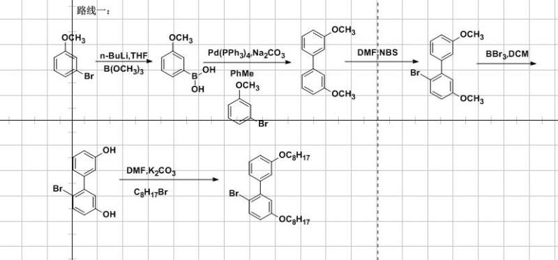
求指导,文献给的第一条路线,我觉得用第二条路线简便,不知第二条路线能否行得通?为什么文献都是第一条路线? 360截图20150703230458886.jpg 360截图20150703230511641.jpg |
» 猜你喜欢
人工智能320调剂08工类还有机会吗
已经有17人回复
考研英一数一338分
已经有10人回复
求助调剂,跨调
已经有15人回复
085600材料与化工329分求调剂
已经有20人回复
085600材料与化工349分求调剂
已经有15人回复
求调剂
已经有13人回复
一志愿华南理工大学331分材料求调剂
已经有11人回复
271求调剂
已经有40人回复
求调剂学校
已经有3人回复
332求调剂
已经有15人回复
tongbihai
木虫 (职业作家)
- 博学EPI: 1
- 应助: 418 (硕士)
- 金币: 16926.3
- 散金: 1635
- 红花: 40
- 帖子: 3674
- 在线: 359.8小时
- 虫号: 1437829
- 注册: 2011-10-11
- 专业: 林产化学
2楼2015-07-13 09:23:56














回复此楼