| ²é¿´: 3789 | »Ø¸´: 1 | ||
promisewind½ð³æ (ÖøÃûдÊÖ)
|
[ÇóÖú]
»ùÓÚKKTÌõ¼þÇó½â²»µÈÊ½Ô¼ÊøÏµÄ×îÓÅ»¯ÎÊÌâ
|
|
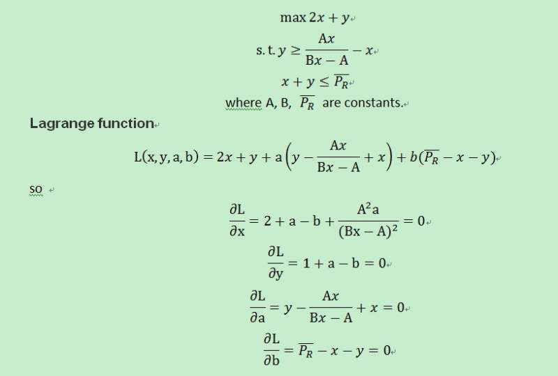
Çó½âÒ»¸ö²»µÈÊ½Ô¼ÊøÏµÄ×îÓÅ»¯ÎÊÌ⣬½¨Á¢À¸ñÀÊÈÕº¯Êý£¬ºóÃæÇóµ¼£¬¾ÍÍÆ³öx £¬yÁË¡£ Çë´ó¼Ò°ïæ¿´¿´ÓÐûÓÐÎÊÌâ°¡£¬ÕâÑùÎÒ¾õµÃºÍµÈÊ½Ô¼ÊøÏ½á¹ûÊÇÒ»ÑùµÄÁË¡£ kkt.jpg |
» ²ÂÄãϲ»¶
¸÷λÀÏʦºÃ£¬Çóµ÷¼Á£¬±¾¿Æ211£¬Ò»Ö¾Ô¸Ìì½ò´óѧÉúÎïÓëҽҩѧ˶£¬²îÁ½Ãû¼ȡ¡£
ÒѾÓÐ3È˻ظ´
»¯¹¤Ñ§Ë¶294·Ö£¬Çóµ¼Ê¦ÊÕÁô
ÒѾÓÐ20È˻ظ´
327Çóµ÷¼Á
ÒѾÓÐ8È˻ظ´
297Çóµ÷¼Á
ÒѾÓÐ22È˻ظ´
085801µçÆø×¨Ë¶272Çóµ÷¼Á
ÒѾÓÐ11È˻ظ´
271Çóµ÷¼Á
ÒѾÓÐ33È˻ظ´
µ÷¼Á
ÒѾÓÐ27È˻ظ´
Ò»Ö¾Ô¸2110£¬»¯Ñ§Ñ§Ë¶310·Ö£¬±¾¿ÆÖصãË«·ÇÇóµ÷¼Á
ÒѾÓÐ20È˻ظ´
085600²ÄÁÏÓ뻯¹¤£¬Çóµ÷¼Á
ÒѾÓÐ13È˻ظ´
±¾¿ÆÖ£ÖÝ´óѧ£¬Ò»Ö¾Ô¸»ª¶«Ê¦·¶´óѧ282Çóµ÷¼Á
ÒѾÓÐ31È˻ظ´
» ±¾Ö÷ÌâÏà¹Ø¼ÛÖµÌùÍÆ¼ö£¬¶ÔÄúͬÑùÓаïÖú:
3DÖÇÄÜÊý×Ö»¯Óë3D´òÓ¡µÄÒ»±¾ÐÂÊé
ÒѾÓÐ12È˻ظ´

kiraq
гæ (³õÈëÎÄ̳)
- Ó¦Öú: 0 (Ó×¶ùÔ°)
- ½ð±Ò: 1644.7
- Ìû×Ó: 29
- ÔÚÏß: 15.4Сʱ
- ³æºÅ: 4409832
- ×¢²á: 2016-02-17
- רҵ: ÐźÅÀíÂÛÓëÐźŴ¦Àí
|
Æäʵkkt condition¾ÍÊÇÀ¸ñÀÊÈÕ³ËÊý·¨µÄÍÆ¹ã£¬µÄÈ·£¬×îÓŽâÈçÄãËù˵¾ÍÊÇÈ¡Ôڱ߽çÉϵÄÖµ£¬ÕæÕýÍêÈ«¶®µÄ»°£¬¿ÉÒÔËÑËÑÔÚά»ùÉÏkkt£¬ÓÐÖ¤Ã÷Ϊʲô£¬¿ÉÄܳÁÌùÁË£¬²»Òª¹ÖÎÒÍÚ·Ø ·¢×ÔСľ³æAndroid¿Í»§¶Ë |
2Â¥2016-10-04 00:05:05













»Ø¸´´ËÂ¥
5