| ²é¿´: 303 | »Ø¸´: 2 | |||
liud721гæ (³õÈëÎÄ̳)
|
[½»Á÷]
automated pore volume distribution measurement£¨·ÖÎö¿×¾¶·Ö²¼£© ÒÑÓÐ1È˲ÎÓë
|
|
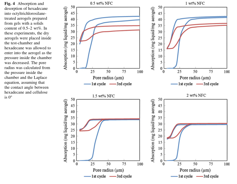
ÕâÁ½¸öͼÊÇÄÉÃ×ÏËÎ¬ÆøÄý½ºµÄ¶à¿×·Ö²¼ÓëÆäÎüÓÍÄÜÁ¦¹ØÏµµÄÇúÏߣ¬Óжà´Î·´¸´Ñ»·µÄ£¬µ«ÊÇÎÒ²»ÖªµÀÔõô·ÖÎö£¬ÇóÖ¸µ¼µÄ´óÉñ°ï°ïÎÒ£¡ 1.png 2.png |
» ²ÂÄãϲ»¶
ÇóBrukerµÄFile ExchangeÈí¼þ
ÒѾÓÐ0È˻ظ´
Solar Energy Materials and Solar CellsÕâ¸öÆÚ¿¯µÄÉó¸åÖÜÆÚÕâô³¤
ÒѾÓÐ1È˻ظ´
Ò±½ðÓë¿óÒµÂÛÎÄÈóÉ«/·ÒëÔõôÊÕ·Ñ?
ÒѾÓÐ235È˻ظ´
ͬÄêÉ걨£¬ÊDz»ÊǾͲ»»áÅɸøÄ㺯ÆÀ±¾×ÓÁË£¿
ÒѾÓÐ4È˻ظ´
ÃæÉÏ5BÄÜÉÏ»áÂð£¿
ÒѾÓÐ8È˻ظ´
¹þÀí¹¤£¬²ÄÁÏ£¬ÕÐÊÕµ÷¼Á£¬µ¼Ê¦Ñо¿·½Ïò£º¹âµç¹¦ÄܲÄÁÏÓëÆ÷¼þ¡¢¹âµç°ëµ¼Ìå²ÄÁÏ
ÒѾÓÐ0È˻ظ´
275Çóµ÷¼Á
ÒѾÓÐ16È˻ظ´
esi¸ß±»ÒýÂÛÎÄÊDz»ÊÇÄܶÔÖбêÓÐËù¼Ó·ÖºÍ°ïÖúÄØ
ÒѾÓÐ6È˻ظ´
Çó×â µç×Ó²ÄÁÏpdfµç×ÓÊé
ÒѾÓÐ0È˻ظ´
ÎåÆª´ú±í×÷·Å×î½üµÄ»¹ÊǷŸúÉ걨ÄÚÈÝ×îÏà¹Øµ«ºÃ¼¸ÄêǰµÄ£¿
ÒѾÓÐ2È˻ظ´
ÄÏͨ¸ßУÕвÄÁÏ¡¢»¯¹¤¡¢»·¾³Ààµ÷¼ÁÑо¿Éú
ÒѾÓÐ0È˻ظ´
» ±¾Ö÷ÌâÏà¹ØÉ̼ÒÍÆ¼ö: (ÎÒÒ²ÒªÔÚÕâÀïÍÆ¹ã)
» ±¾Ö÷ÌâÏà¹Ø¼ÛÖµÌùÍÆ¼ö£¬¶ÔÄúͬÑùÓаïÖú:
ÄäÃû
Óû§×¢Ïú (СÓÐÃûÆø)
- Ó¦Öú: 1 (Ó×¶ùÔ°)
- ½ð±Ò: 149.6
- Ìû×Ó: 54
- ÔÚÏß: 416.1Сʱ
- ³æºÅ: 0
- ×¢²á: 2010-10-15
- ÐÔ±ð: GG
- רҵ: Óлú·Ö×Ó¹¦ÄܲÄÁÏ»¯Ñ§
2Â¥2015-07-01 11:10:32
liud721
гæ (³õÈëÎÄ̳)
- Ó¦Öú: 0 (Ó×¶ùÔ°)
- ½ð±Ò: 8
- Ìû×Ó: 4
- ÔÚÏß: 3.1Сʱ
- ³æºÅ: 1814960
- ×¢²á: 2012-05-13
- רҵ: ΢ÉúÎïÉúÀíÓëÉúÎﻯѧ
3Â¥2015-07-01 14:48:20














»Ø¸´´ËÂ¥
