| 查看: 912 | 回复: 16 | |||
Jhon_C木虫 (著名写手)
|
[求助]
数据拟合? 已有1人参与
|
||
|
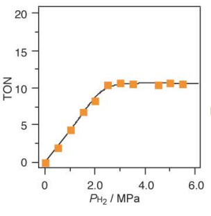
请问下,经常在文献中看到如下三幅图(见附件): 图片来源:Dalton Trans., 2006, 4657–4663 (Figure 3, Figure 4, Figure 5) 现在请问,作者在得到数据点后,是如何得到如图的拟合曲线的?是怎么拟合的? 谢谢! 1.PNG 2.PNG 3.PNG |
» 猜你喜欢
河南某一本高校招收材料,化工,化学调剂生
已经有0人回复
生物质能方向,招光/电催化博士
已经有0人回复
化学工程及工业化学论文润色/翻译怎么收费?
已经有143人回复
国家级人才课题组招收2026年化学,材料化工 调剂生
已经有0人回复
国家级人才团体课题组招收2026届化学类学硕,专硕。
已经有0人回复
国家级人才课题组招收2026年化学,材料化工 调剂生
已经有0人回复
大连工业大学招硕士研究生
已经有0人回复
国家级人才课题组招收2026年化学,材料化工 调剂生
已经有0人回复
河南理工大学招收材料,化工,化学调剂生
已经有0人回复
招收调剂
已经有0人回复
国家级人才课题组招收2026年化学,材料化工 调剂生
已经有0人回复

feixiaolin
荣誉版主 (文坛精英)
-

专家经验: +518 - 应助: 942 (博后)
- 贵宾: 1.275
- 金币: 3880
- 散金: 58785
- 红花: 532
- 沙发: 11
- 帖子: 24215
- 在线: 2601.8小时
- 虫号: 2139575
- 注册: 2012-11-21
- 专业: 光学信息获取与处理
- 管辖: 数学
2楼2015-06-26 12:18:09
Jhon_C
木虫 (著名写手)
- 应助: 0 (幼儿园)
- 金币: 2667.2
- 散金: 790
- 红花: 7
- 帖子: 1096
- 在线: 258.4小时
- 虫号: 2293262
- 注册: 2013-02-22
- 专业: 生物物理、生物化学与分子

3楼2015-06-26 12:20:56
feixiaolin
荣誉版主 (文坛精英)
-

专家经验: +518 - 应助: 942 (博后)
- 贵宾: 1.275
- 金币: 3880
- 散金: 58785
- 红花: 532
- 沙发: 11
- 帖子: 24215
- 在线: 2601.8小时
- 虫号: 2139575
- 注册: 2012-11-21
- 专业: 光学信息获取与处理
- 管辖: 数学
4楼2015-06-26 12:39:32
liwentao2010
荣誉版主 (文坛精英)
山涛
-

专家经验: +925 - C-EPI: 21
- 应助: 1892 (讲师)
- 贵宾: 9.653
- 金币: 66833.1
- 散金: 19465
- 红花: 295
- 沙发: 38
- 帖子: 12535
- 在线: 1645.7小时
- 虫号: 1135679
- 注册: 2010-10-31
- 专业: 催化化学
- 管辖: 催化

5楼2015-06-26 13:44:05
Jhon_C
木虫 (著名写手)
- 应助: 0 (幼儿园)
- 金币: 2667.2
- 散金: 790
- 红花: 7
- 帖子: 1096
- 在线: 258.4小时
- 虫号: 2293262
- 注册: 2013-02-22
- 专业: 生物物理、生物化学与分子

6楼2015-06-26 15:51:30
liwentao2010
荣誉版主 (文坛精英)
山涛
-

专家经验: +925 - C-EPI: 21
- 应助: 1892 (讲师)
- 贵宾: 9.653
- 金币: 66833.1
- 散金: 19465
- 红花: 295
- 沙发: 38
- 帖子: 12535
- 在线: 1645.7小时
- 虫号: 1135679
- 注册: 2010-10-31
- 专业: 催化化学
- 管辖: 催化

7楼2015-06-26 16:14:33
heshuangrong
新虫 (小有名气)
- 应助: 2 (幼儿园)
- 金币: 784.2
- 散金: 25
- 帖子: 96
- 在线: 93.5小时
- 虫号: 1498593
- 注册: 2011-11-18
- 专业: 化学反应工程
8楼2015-06-26 18:38:40
Jhon_C
木虫 (著名写手)
- 应助: 0 (幼儿园)
- 金币: 2667.2
- 散金: 790
- 红花: 7
- 帖子: 1096
- 在线: 258.4小时
- 虫号: 2293262
- 注册: 2013-02-22
- 专业: 生物物理、生物化学与分子

9楼2015-06-26 20:05:50
Jhon_C
木虫 (著名写手)
- 应助: 0 (幼儿园)
- 金币: 2667.2
- 散金: 790
- 红花: 7
- 帖子: 1096
- 在线: 258.4小时
- 虫号: 2293262
- 注册: 2013-02-22
- 专业: 生物物理、生物化学与分子

10楼2015-06-26 20:06:27














回复此楼
,你再查查相关文献
120