| 查看: 582 | 回复: 0 | ||
[求助]
求助,钒多酸的电催化测试要如何去做
|
|
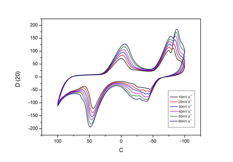
审稿意见回来需要做电催化测试,我的化合物中是有二价的铜和5价的钒,能帮忙分析以下循环伏安峰对应的氧化还原电对吗,查了好多文献发现都对不上,也不知道是测试的问题还是什么,急急急,自己金币很少,也求大神们来帮帮我,谢谢了。 cv-2.jpg |
» 猜你喜欢
化学-化工-材料-食品-生物-环境2026年研究生调剂(可以不考数学)
已经有0人回复
化学-化工-材料-食品-生物-环境-农业 2026年研究生调剂(可以不考数学)
已经有1人回复
分析化学论文润色/翻译怎么收费?
已经有167人回复
070300一志愿211,312分求调剂院校
已经有12人回复
26年储能、电池方向博士申请
已经有0人回复
070300化学求调剂
已经有12人回复
青岛大学化学化工学院2026年招收调剂硕士研究生
已经有0人回复
北方工业大学085808储能技术-02方向(电池)接收调剂生
已经有0人回复
272求调剂,接受跨专业调剂!
已经有3人回复
有一区TOP论文,求调剂
已经有20人回复
大连工业大学杰青/长江团队-生物质材料-储能电池方向招收2026级博士生
已经有8人回复
找到一些相关的精华帖子,希望有用哦~
求助如何把催化剂做成电极进行电化学测试?
已经有10人回复
求助。磷酸钒锂Li3V2(PO4)3 XRD的标准PDF卡片
已经有11人回复
做钒酸锂正极--武汉理工力强能源有限公司挂牌成立
已经有25人回复
求助一下,有人知道钒酸铁的Ksp值是多少吗
已经有16人回复
【求助】偏钒酸铵溶解于何种溶剂
已经有22人回复
科研从小木虫开始,人人为我,我为人人














回复此楼
点击这里搜索更多相关资源