| 查看: 412 | 回复: 0 | ||
[交流]
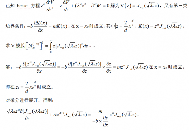
第三类边界条件下,bessel方程模量求解,比较复杂,求指导
|

找到一些相关的精华帖子,希望有用哦~
用matlab求解含有bessel函数的方程
已经有5人回复
COMSOL的PDE方程如何参数设置菜能实现求解
已经有8人回复
科研从小木虫开始,人人为我,我为人人














回复此楼
点击这里搜索更多相关资源