| 查看: 1273 | 回复: 6 | |
| 当前只显示满足指定条件的回帖,点击这里查看本话题的所有回帖 | |
[求助]
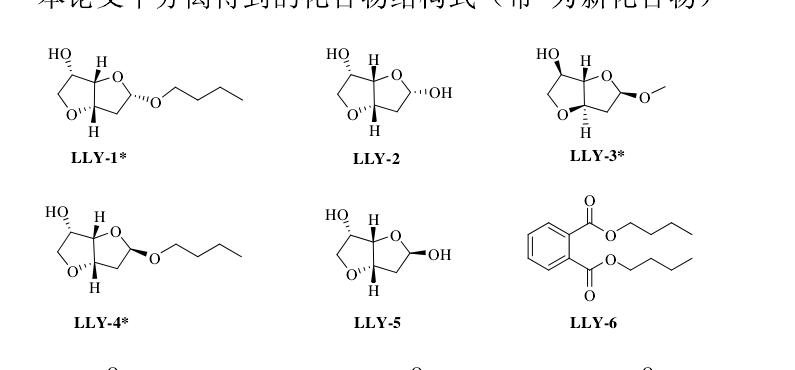
以下的6个化合物,各属于天然产物化学里面的哪一个种类?感谢万分! 已有2人参与
|
|
|
|
|
|
3楼2015-06-16 20:35:52
|
|
| 查看全部 7 个回答 | |
|
2楼2015-06-16 20:26:11
|
|
|
4楼2015-06-16 20:42:02
|
|
xb275
|
|
|
5楼2015-06-17 09:25:02
|
|













回复此楼
